Global supply chain design decisions should be evaluated as a sequence of cash flows over the duration of time they will be in place. This requires the evaluation of future cash flows accounting for risks and uncertainties likely to arise in the global supply chain. In this section, we discuss the basics of analysis to evaluate future cash flows before introducing uncertainty in the next section.
The present value of a stream of cash flows is what that stream is worth in today’s dollars. Discounted cash flow (DCF) analysis evaluates the present value of any stream of future cash flows and allows management to compare two streams of cash flows in terms of their financial value. DCF analysis is based on the fundamental premise that “a dollar today is worth more than a dollar tomorrow” because a dollar today may be invested and earn a return in addition to the dollar invested. This premise provides the basic tool for comparing the relative value of future cash flows that will arrive during different time periods.
The present value of future cash flow is found by using a discount factor. If a dollar today can be invested and earn a rate of return k over the next period, an investment of $1 today will result in 1 + k dollars in the next period. An investor would therefore be indifferent between obtaining $1 in the next period or $1 / (1 + k) in the current period. Thus, $1 in the next period is discounted by the

to obtain its present value.
The rate of return k is also referred to as the discount rate, hurdle rate, or opportunity cost of capital. Given a stream of cash flows C0, Cj, … , CT over the next T periods, and a rate of return k, the net present value (NPV) of this cash flow stream is given by

The NPV of different options should be compared when making supply chain decisions. A negative NPV for an option indicates that the option will lose money for the supply chain. The decision with the highest NPV will provide a supply chain with the highest financial return.
EXAMPLE 6-1
Trips Logistics, a third-party logistics firm that provides warehousing and other logistics services, is facing a decision regarding the amount of space to lease for the upcoming three-year period. The general manager has forecast that Trips Logistics will need to handle a demand of 100,000 units for each of the next three years. Historically, Trips Logistics has required 1,000 square feet of warehouse space for every 1,000 units of demand. For the purposes of this discussion, the only cost Trips Logistics faces is the cost for the warehouse.
Trips Logistics receives revenue of $1.22 for each unit of demand. The general manager must decide whether to sign a three-year lease or obtain warehousing space on the spot market each year. The three-year lease will cost $1 per square foot per year, and the spot market rate is expected to be $1.20 per square foot per year for each of the three years. Trips Logistics has a discount rate of k = 0.1.
Analysis
The general manager decides to compare the NPV of signing a three-year lease for 100,000 square feet of warehouse space with obtaining the space from the spot market each year. If the general manager obtains warehousing space from the spot market each year, Trips Logistics will earn $1.22 for each unit and pay $1.20 for one square foot of warehouse space required. The expected annual profit for Trips Logistics in this case is given by the following:
Expected annual profit if warehousing = (100,000 X $1.22)
space is obtained from spot market – (100,000 X $1.20) = $2,000
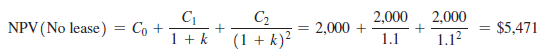
Obtaining warehouse space from the spot market provides Trips Logistics with an expected positive cash flow of $2,000 in each of the three years. The NPV may be evaluated as follows:

If the general manager leases 100,000 sq. ft. of warehouse space for the next three years, Trips Logistics pays $1 per square foot of space leased each year. The expected annual profit for Trips Logistics in this case is given by the following:
Expected annual profit with three-year lease = (100,000 X $1.22) – (100,000 X $1.00)
= $22,000
Signing a lease for three years provides Trips Logistics with a positive cash flow of $22,000 inn each of the three years. The NPV may be evaluated as

The NPV of signing the lease is $60,182 – $5,471 = $54,711 higher than obtaining warehousing space on the spot market.
Based on this simple analysis, a manager may opt to sign the lease. However, this does not tell the whole story because we have not yet included the uncertainty in spot prices and valued the greater flexibility to adjust to uncertainty that the spot market provides the manager. In the next section, we introduce methodology that allows for uncertainty and discuss how the inclusion of uncertainty of future demand and costs may cause the manager to rethink the decision.
Source: Chopra Sunil, Meindl Peter (2014), Supply Chain Management: Strategy, Planning, and Operation, Pearson; 6th edition.

You have brought up a very superb points, regards for the post.
Would love to always get updated outstanding website! .