To better understand the trade-offs discussed in this section, consider a situation that often arises in daily life—the purchase of groceries and other household products. These may be purchased at a nearby convenience store or at a Costco (a large warehouse club selling consumer goods), which is generally located much farther away. The fixed cost of going shopping is the time it takes to go to either location. This fixed cost is much lower for the nearby convenience store. Prices, however, are higher at the local convenience store. Taking the fixed cost into account, we tend to tailor our lot size decision accordingly. When we need only a small quantity, we go to the nearby convenience store because the benefit of a low fixed cost outweighs the cost of higher prices at the convenience store. When we are buying a large quantity, however, we go to Costco, where the lower prices over the larger quantity purchased more than make up for the higher fixed cost.
In this section, we focus on the situation in which a fixed cost associated with placing, receiving, and transporting an order is incurred for each order. A purchasing manager wants to minimize the total cost of satisfying demand and must therefore make the appropriate cost tradeoffs when making the lot-sizing decision. We start by considering the lot-sizing decision for a single product.
1. Lot Sizing for a Single Product (Economic Order Quantity)
As Best Buy sells its current inventory of HP computers, the purchasing manager places a replenishment order for a new lot of Q computers. Including the cost of transportation, Best Buy incurs a fixed cost of $S per order. The purchasing manager must decide on the number of computers to order from HP in a lot. For this decision, we assume the following inputs:
D = Annual demand of the product
S = Fixed cost incurred per order
C = Cost per unit of product
h = Holding cost per year as a fraction of product cost
Assume that HP does not offer any discounts, and each unit costs $C no matter how large an order is. The holding cost is thus given by H = hC (using Equation 11.2). The model is developed using the following basic assumptions:
- Demand is steady at D units per unit time.
- No shortages are allowed—that is, all demand must be supplied from stock.
- Replenishment lead time is fixed (initially assumed to be zero).
The purchasing manager makes the lot-sizing decision to minimize the total cost for the store. He or she must consider three costs when deciding on the lot size:
- Annual material cost
- Annual ordering cost
- Annual holding cost
Because purchase price is independent of lot size, we have
Annual material cost = CD
The number of orders must suffice to meet the annual demand D. Given a lot size of Q, we thus have

Because an order cost of S is incurred for each order placed, we infer that
![]()
Given a lot size of Q, we have an average inventory of Q/2. The annual holding cost is thus the cost of holding Q/2 units in inventory for one year and is given as

The total annual cost, TC, is the sum of all three costs and is given as
![]()
Figure 11-2 shows the variation in different costs as the lot size is changed. Observe that the annual holding cost increases with an increase in lot size. In contrast, the annual ordering cost declines with an increase in lot size. The material cost is independent of lot size because we have assumed the price to be fixed. The total annual cost thus first declines and then increases with an increase in lot size.
From the perspective of the manager at Best Buy, the optimal lot size is one that minimizes the total cost to Best Buy. It is obtained by taking the first derivative of the total cost with respect to Q and setting it equal to 0 (see Appendix 11A at the end of this chapter). The optimal lot size is referred to as the economic order quantity (EOQ). It is denoted by Q* and is given by the following equation:


For this formula, it is important to use the same time units for the holding cost rate h and the demand D. With each lot or batch of size Q* the cycle inventory in the system is given by Q*/2. The flow time spent by each unit in the system is given by Q*/(2D). As the optimal lot size increases, so does the cycle inventory and the flow time. The optimal ordering frequency is given by n*, where

In Example 11-1 (see spreadsheet Chapterll-examplesl-6, worksheet Example 11-1), we illustrate the EOQ formula and the procedure to make lot-sizing decisions.
EXAMPLE 11-1 Economic Order Quantity
Demand for the Deskpro computer at Best Buy is 1,000 units per month. Best Buy incurs a fixed order placement, transportation, and receiving cost of $4,000 each time an order is placed. Each computer costs Best Buy $500 and the retailer has a holding cost of 20 percent. Evaluate the number of computers that the store manager should order in each replenishment lot.
Analysis:
In this case, the store manager has the following inputs: Annual demand, D = 1,000 X 12 = 12,000 units Order cost per lot, S = $4,000 Unit cost per computer, C = $500 Holding cost per year as a fraction of unit cost, h = 0.2
Using the EOQ formula (Equation 11.5), the optimal lot size is
![]()
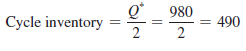
To minimize the total cost at Best Buy, the store manager orders a lot size of 980 computers for each replenishment order. The cycle inventory is the average resulting inventory and (using Equation 11.1) is given by

For a lot size of Q* = 980, the store manager evaluates

Each computer thus spends 0.49 month, on average, at Best Buy before it is sold because it was purchased in a batch of 980.
A few key insights can be gained from Example 11-1 (see worksheet Example11-1). Using a lot size of 1,100 (instead of 980) increases annual costs to $98,636 (from $97,980). Even though the order size is more than 10 percent larger than the optimal order size Q* total cost increases by only 0.67 percent. This issue can be relevant in practice. Best Buy may find that the economic order quantity for flash drives is 6.5 cases. The manufacturer may be reluctant to ship half a case and may want to charge extra for this service. Our discussion illustrates that Best Buy is perhaps better off with lot sizes of six or seven cases, because this change has a small impact on its inventory-related costs but can save on any fee that the manufacturer charges for shipping half a case.
If demand at Best Buy increases to 4,000 computers a month (demand has increased by a factor of 4), the EOQ formula shows that the optimal lot size doubles and the number of orders placed per year also doubles. In contrast, average flow time decreases by a factor of 2. In other words, as demand increases, cycle inventory measured in terms of days (or months) of demand should reduce if the lot-sizing decision is made optimally. This observation can be stated as the following Key Point:
Let us return to the situation in which monthly demand for the Deskpro model is 1,000 computers. Now assume that the manager would like to reduce the lot size to Q = 200 units to reduce flow time. If this lot size is decreased without any other change, we have
![]()
This is significantly higher than the total cost of $97,980 that Best Buy incurred when ordering in lots of 980 units, as in Example 11-1. Thus, there are clear financial reasons that the store manager would be unwilling to reduce the lot size to 200. To make it feasible to reduce the lot size, the manager should work to reduce the fixed order cost S. If the fixed cost associated with each lot is reduced to $1,000 (from the current value of $4,000), the optimal lot size reduces to 490 (from the current value of 980). We illustrate the relationship between desired lot size and order cost in Example 11-2 (see worksheet Example 11-2).
EXAMPLE 11-2 Relationship Between Desired Lot Size and Ordering Cost
The store manager at Best Buy would like to reduce the optimal lot size from 980 to 200. For this lot size reduction to be optimal, the store manager wants to evaluate how much the ordering cost per lot should be reduced.
Analysis:
In this case, we have
Desired lot size, Q* = 200
Annual demand, D = 1,000 X 12 = 12,000 units
Unit cost per computer, C = $500
Holding cost per year as a fraction of inventory value, h = 0.2
Using the EOQ formula (Equation 11.5), the desired order cost is

Thus, the store manager at Best Buy would have to reduce the order cost per lot from $4,000 to $166.7 for a lot size of 200 to be optimal.
2. Production Lot Sizing
In the EOQ formula, we have implicitly assumed that the entire lot arrives at the same time. While this may be a reasonable assumption for a retailer receiving a replenishment lot, it is not reasonable in a production environment in which production occurs at a specified rate, say, P. In a production environment, inventory thus builds up at a rate of P – D when production is on, and inventory is depleted at a rate of D when production is off.
With D, h, C, and S as defined earlier, the EOQ formula can be modified to obtain the economic production quantity (EPQ) as follows:

The annual setup cost in this case is given by

The annual holding cost is given by

Observe that the economic production quantity is the EOQ multiplied by a correction factor that approaches 1 as the production rate becomes much faster than the demand.
For the remainder of this chapter, we restrict our attention to the case in which the entire replenishment lot arrives at the same time, a scenario that applies in most supply chain settings.
3. Lot Sizing with Capacity Constraint
In our discussion so far we have assumed that the economic order quantity for a retailer will fit on the truck. In reality the truck has a limited capacity, say K. If the economic order quantity Q is more than the K, the retailer will have to pay for more than one truck. In this case, the optimal order quantity is obtained by comparing the cost of ordering K units (a full truck) and Q units (< Q / K = trucks). If the setup cost S arises primarily from the cost of a truck, it is never optimal to order more than one truck. In this case, the optimal order size is the minimum of the EOQ and the truck capacity (K).
Source: Chopra Sunil, Meindl Peter (2014), Supply Chain Management: Strategy, Planning, and Operation, Pearson; 6th edition.

15 Jun 2021
15 Jun 2021
15 Jun 2021
15 Jun 2021
14 Jun 2021
14 Jun 2021