A manager’s goal when locating facilities and allocating capacity should be to maximize the overall profitability of the resulting supply chain network while providing customers with the appropriate responsiveness. Revenues come from the sale of product, whereas costs arise from facilities, labor, transportation, material, and inventories. The profits of the firm are also affected by taxes and tariffs. Ideally, profits after tariffs and taxes should be maximized when designing a supply chain network.
A manager must consider many trade-offs during network design. For example, building many facilities to serve local markets reduces transportation cost and provides a fast response time, but it increases the facility and inventory costs incurred by the firm.
Managers use network design models in two situations. First, these models are used to decide on locations where facilities will be established and determine the capacity to be assigned to each facility. Managers must make this decision considering a time horizon over which locations and capacities will not be altered (typically in years). Second, these models are used to assign current demand to the available facilities and identify lanes along which product will be transported. Managers must consider this decision at least on an annual basis as demand, prices, exchange rates, and tariffs change. In both cases, the goal is to maximize the profit while satisfying customer needs. The following information ideally is available in making the design decision:
- Location of supply sources and markets
- Location of potential facility sites
- Demand forecast by market
- Facility, labor, and material costs by site
- Transportation costs between each pair of sites
- Inventory costs by site and as a function of quantity
- Sale price of product in different regions
- Taxes and tariffs
- Desired response time and other service factors
Given this information, either gravity models or network optimization models may be used to design the network. We organize the models according to the phase of the network design framework at which each model is likely to be useful.
1. Phase II: Network Optimization Models
During Phase II of the network design framework (see Figure 5-2), a manager considers regional demand, tariffs, economies of scale, and aggregate factor costs to decide the regions where facilities are to be located. As an example, consider SunOil, a manufacturer of petrochemical products with worldwide sales. The vice president of supply chain is considering several options to meet demand. One possibility is to set up a facility in each region. The advantage of such an approach is that it lowers transportation cost and also helps avoid duties that may be imposed if product is imported from other regions. The disadvantage of this approach is that plants are sized to meet local demand and may not fully exploit economies of scale. An alternative approach is to consolidate plants in just a few regions. This improves economies of scale but increases transportation cost and duties. During Phase II, the manager must consider these quantifiable trade-offs along with nonquantifiable factors such as the competitive environment and political risk.
Network optimization models are useful for managers considering regional configuration during Phase II. The first step is to collect the data in a form that can be used for a quantitative model. For SunOil, the vice president of supply chain decides to view the worldwide demand in terms of five regions—North America, South America, Europe, Africa, and Asia. The data collected are shown in Figure 5-3.
Annual demand for each of the five regions is shown in cells B9:F9. Cells B4:F8 contain the variable production, inventory, and transportation cost (including tariffs and duties) of producing in one region to meet demand in each individual region. All costs are in thousands of dollars. For example, as shown in cell C4, it costs $92,000 (including duties) to produce 1 million units in North America and sell them in South America. As shown in cell G4, it costs $6 million in annualized fixed cost to build a low-capacity plant in North America. Observe that the data collected at this stage are at a fairly aggregate level.

There are fixed as well as variable costs associated with facilities, transportation, and inventories at each facility. Fixed costs are those that are incurred no matter how much is produced or shipped from a facility. Variable costs are those that are incurred in proportion to the quantity produced or shipped from a given facility. Facility, transportation, and inventory costs generally display economies of scale, and the marginal cost decreases as the quantity produced at a facility increases. In the models we consider, however, all variable costs grow linearly with the quantity produced or shipped.
SunOil is considering two plant sizes in each location. Low-capacity plants can produce 10 million units a year, whereas high-capacity plants can produce 20 million units a year, as shown in cells H4:H8 and J4:J8, respectively. High-capacity plants exhibit some economies of scale and have fixed costs that are less than twice the fixed costs of a low-capacity plant, as shown in cells I4:I8. All fixed costs are annualized. The vice president wants to know what the lowest-cost network should look like. To answer this question, we next discuss the capacitated plant location model, which can be used in this setting.
THE CAPACITATED PLANT LOCATION MODEL The capacitated plant location network optimization model requires the following inputs:
n = number of potential plant locations/capacity (each level of capacity will count as a separate location)
m = number of markets or demand points
Dj = annual demand from market j
K = potential capacity of plant i
f = annualized fixed cost of keeping plant i open
cij = cost of producing and shipping one unit from plant i to market j (cost includes production, inventory, transportation, and tariffs)
The supply chain team’s goal is to decide on a network design that maximizes profits after taxes. For the sake of simplicity, however, we assume that all demand must be met and taxes on earnings are ignored. The model thus focuses on minimizing the cost of meeting global demand. It can be modified, however, to include profits and taxes. Define the following decision variables:
yi = 1 if plant i is open, 0 otherwise
xij = quantity shipped from plant i to market j
The problem is then formulated as the following mixed integer program:

The objective function minimizes the total cost (fixed + variable) of setting up and operating the network. The constraint in Equation 5.1 requires that the demand at each regional market be satisfied. The constraint in Equation 5.2 states that no plant can supply more than its capacity. (Clearly, the capacity is 0 if the plant is closed and Ki if it is open. The product of terms, Kiyi, captures this effect.) The constraint in Equation 5.3 enforces that each plant is either open (yi = 1) or closed (yi = 0). The solution identifies the plants that are to be kept open, their capacity, and the allocation of regional demand to these plants.

The model is solved using the Solver tool in Excel (see spreadsheet Figures 5-3 to 7). Given the data, the next step in Excel is to identify cells corresponding to each decision variable, as shown in Figure 5-4. Cells B14:F18 correspond to the decision variables xij and determine the amount produced in a supply region and shipped to a demand region. Cells G14:G18 contain the decision variables yi corresponding to the low-capacity plants, and cells H14:H18 contain the decision variables yi corresponding to the high-capacity plants. Initially, all decision variables are set to be 0.
The next step is to construct cells for the constraints in Equations 5.1 and 5.2 and the objective function. The constraint cells and objective function are shown in Figure 5-5. Cells B22:B26 contain the capacity constraints in Equation 5.2, and cells B28:F28 contain the demand constraints in Equation 5.1. The objective function is shown in cell B31 and measures the total fixed cost plus the variable cost of operating the network.
The next step is to use Data to invoke Solver, as shown in Figure 5-6. Within Solver, the goal is to minimize the total cost in cell B31. The variables are in cells B14:H18. The constraints are as follows:

Within the Solver Parameters dialog box, select Simplex LP and then click on Solve to obtain the optimal solution, as shown in Figure 5-7. From Figure 5-7, the supply chain team concludes that the lowest-cost network will have facilities located in South America (cell H15 = 1), Asia (cell H17 = 1), and Africa (cell H18 = 1). Further, a high-capacity plant should be planned in each region. The plant in South America meets the North American demand (cell B15), whereas the European demand is met from plants in Asia (cell D17) and Africa (cell D18).
The model discussed earlier can be modified to account for strategic imperatives that require locating a plant in some region. For example, if SunOil decides to locate a plant in Europe for strategic reasons, we can modify the model by adding a constraint that requires one plant to be located in Europe. At this stage, the costs associated with a variety of options incorporating different combinations of strategic concerns such as local presence should be evaluated. A suitable regional configuration is then selected.

Next we consider a model that can be useful during Phase III.
2. Phase III: Gravity Location Models
During Phase III (see Figure 5-2), a manager identifies potential locations in each region where the company has decided to locate a plant. As a preliminary step, the manager needs to identify the geographic location where potential sites may be considered. Gravity location models can be useful when identifying suitable geographic locations within a region. Gravity models are used to find locations that minimize the cost of transporting raw materials from suppliers and finished goods to the markets served. Next, we discuss a typical scenario in which gravity models can be used.

Consider, for example, Steel Appliances (SA), a manufacturer of high-quality refrigerators and cooking ranges. SA has one assembly factory located near Denver, from which it has supplied the entire United States. Demand has grown rapidly and the CEO of SA has decided to set up another factory to serve its eastern markets. The supply chain manager is asked to find a suitable location for the new factory. Three parts plants, located in Buffalo, Memphis, and St. Louis, will supply parts to the new factory, which will serve markets in Atlanta, Boston, Jacksonville, Philadelphia, and New York. The coordinate location, the demand in each market, the required supply from each parts plant, and the shipping cost for each supply source or market are shown in Table 5-1.
Gravity models assume that both the markets and the supply sources can be located as grid points on a plane. All distances are calculated as the geometric distance between two points on the plane. These models also assume that the transportation cost grows linearly with the quantity shipped. We discuss a gravity model for locating a single facility that receives raw material from supply sources and ships finished product to markets. The basic inputs to the model are as follows:
xn, yn: coordinate location of either a market or supply source n
Fn: cost of shipping one unit (a unit could be a piece, pallet, truckload or ton) for one mile
between the facility and either market or supply source n
Dn: quantity to be shipped between facility and market or supply source n
If (x, y) is the location selected for the facility, the distance dn between the facility at location (x, y) and the supply source or market n is given by
![]()


and the total transportation cost (TC) is given by
![]()
The optimal location is one that minimizes the total TC in Equation 5.5. The optimal solution for SA is obtained using the Solver tool in Excel (see spreadsheet Figure 5-8), as shown in Figure 5-8.

The first step is to enter the problem data as shown in cells B5:F12. Next, we set the decision variables (x, y) corresponding to the location of the new facility in cells B16 and B17, respectively. In cells G5:G12, we then calculate the distance dn from the facility location (x, y) to each source or market, using Equation 5.4. The total TC is then calculated in cell B19 using Equation 5.5.
The next step is to to invoke Solver (Data | Solver). Within the Solver Parameters dialog box (see Figure 5-8), the following information is entered to represent the problem:
Set Cell: B19
Equal To: Select Min
By Changing Variable Cells: B16:B17
Select GRG Nonlinear and click on the Solve button. The optimal solution is returned in cells B16 and B17 to be 681 and 882, respectively.
The manager thus identifies the coordinates (x, y) = (681, 882) as the location of the factory that minimizes total cost TC. From a map, these coordinates are close to the border between North Carolina and Virginia. The precise coordinates provided by the gravity model may not correspond to a feasible location, though. The manager should look for desirable sites close to
the optimal coordinates that have the required infrastructure as well as the appropriate worker skills available.
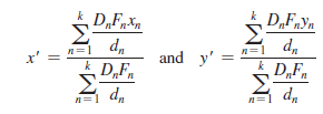
The gravity model can also be solved using the following iterative procedure.
- For each supply source or market n, evaluate dn as defined in Equation 5.4.
- Obtain a new location (x’, y’) for the facility, where

- If the new location (x’, y’) is almost the same as (x, y) stop. Otherwise, set (x, y) = (x’, y’) and go back to step 1.
3. Phase IV: Network Optimization Models
During Phase IV (see Figure 5-2), a manager decides on the location and capacity allocation for each facility. Besides locating the facilities, a manager also decides how markets are allocated to facilities. This allocation must account for customer service constraints in terms of response time. The demand allocation decision can be altered on a regular basis as costs change and markets evolve. When designing the network, both location and allocation decisions are made jointly.
We illustrate the relevant network optimization models using the example of TelecomOne and HighOptic, two manufacturers of telecommunication equipment. TelecomOne has focused on the eastern half of the United States. It has manufacturing plants located in Baltimore, Memphis, and Wichita and serves markets in Atlanta, Boston, and Chicago. HighOptic has targeted the western half of the United States and serves markets in Denver, Omaha, and Portland from plants located in Cheyenne and Salt Lake City.
Plant capacities, market demand, variable production and transportation cost per thousand units shipped, and fixed costs per month at each plant are shown in Table 5-2.
ALLOCATING DEMAND TO PRODUCTION FACILITIES From Table 5-2 we calculate that TelecomOne has a total production capacity of 71,000 units per month and a total demand of 32,000 units per month, whereas HighOptic has a production capacity of 51,000 units per month and a demand of 24,000 units per month. Each year, managers in both companies must decide how to allocate the demand to their production facilities as demand and costs change.

The demand allocation problem can be solved using a demand allocation model. The model requires the following inputs:
n = number of factory locations
m = number of markets or demand points
Dj = annual demand from market j
K = capacity of factory i
Cj = cost of producing and shipping one unit from factory i to market j (cost includes production, inventory, and transportation)
The goal is to allocate the demand from different markets to the various plants to minimize the total cost of facilities, transportation, and inventory. Define the decision variables:
xij = quantity shipped from factory i to market j
The problem is formulated as the following linear program:

The constraints in Equation 5.6 ensure that all market demand is satisfied, and the constraints in Equation 5.7 ensure that no factory produces more than its capacity.
For both TelecomOne and HighOptic, the demand allocation problem can be solved using the Solver tool in Excel. The optimal demand allocation is presented in Table 5-3 (see spreadsheet Figures 5-9 to 12). Observe that it is optimal for TelecomOne not to produce anything in the Wichita facility because of high costs of production and shipping even though the facility is operational and the fixed cost is incurred. With the demand allocation as shown in Table 5-3, TelecomOne incurs a monthly variable cost of $14,886,000 and a monthly fixed cost of $13,950,000, for a total monthly cost of $28,836,000. HighOptic incurs a monthly variable cost of $12,865,000 and a monthly fixed cost of $8,500,000, for a total monthly cost of $21,365,000.
LOCATING PLANTS: THE CAPACITATED PLANT LOCATION MODEL Management executives at both TelecomOne and HighOptic have decided to merge the two companies into a single entity to be called TelecomOptic. Management believes that significant benefits will result if the two networks are merged appropriately. TelecomOptic will have five factories from which to serve six markets. Management is debating whether all five factories are needed. It has assigned a supply chain team to study the network for the combined company and identify the plants that could be shut down.

The problem of selecting the optimal location and capacity allocation is very similar to the regional configuration problem we have already studied in Phase II. The only difference is that instead of using costs and duties that apply over a region, we now use location-specific costs and duties. The supply chain team thus decides to use the capacitated plant location model discussed earlier to solve the problem in Phase IV.
Ideally, the problem should be formulated to maximize total profits, taking into account costs, taxes, and duties by location. Given that taxes and duties do not vary among locations, the supply chain team decides to locate factories and then allocate demand to the open factories to minimize the total cost of facilities, transportation, and inventory. Define the following decision variables:
yi = 1 if factory i is open, 0 otherwise
Xj = quantity shipped from factory i to market j
Recall that the problem is then formulated as the following mixed integer program:

subject to x and y satisfying the constraints in Equations 5.1, 5.2, and 5.3.
The capacity and demand data, along with production, transportation, and inventory costs at different factories for the merged firm TelecomOptic, are given in Table 5-2. The supply chain team decides to solve the plant location model using the Solver tool in Excel.
The first step in setting up the Solver model is to enter the cost, demand, and capacity information as shown in Figure 5-9 (see sheet Figure 5-12 in spreadsheet Figures 5-9 to 12). The fixed costs f for the five plants are entered in cells H4 to H8. The capacities Ki of the five plants are entered in cells I4 to I8. The variable costs from each plant to each demand city, cij, are entered in cells B4 to G8. The demands Dj of the six markets are entered in cells B9 to G9. Next, corresponding to decision variables xj and yi, cells B14 to G18 and H14 to H18, respectively, are assigned as shown in Figure 5-9. Initially, all variables are set to be 0.
The next step is to construct cells for each of the constraints in Equations 5.1 and 5.2. The constraint cells are as shown in Figure 5-10. Cells B22 to B26 contain the capacity constraints in Equation 5.1, whereas cells B29 to G29 contain the demand constraints in Equation 5.2. The cell B29 corresponds to the demand constraint for the market in Atlanta. The constraint in cell B22 corresponds to the capacity constraint for the factory in Baltimore. The capacity constraints require that the cell value be greater than or equal to (—) 0, whereas the demand constraints require the cell value be equal to 0.

The objective function measures the total fixed and variable cost of the supply chain network and is evaluated in cell B32. The next step is to invoke Solver, as shown in Figure 5-11.
Within Solver, the goal is to minimize the total cost in cell B32. The variables are in cells B14:H18. The constraints are as follows:

Within the Solver Parameters dialog box, select Simplex LP and click on Solve to obtain the optimal solution, as shown in Figure 5-12. From Figure 5-12, the supply chain team concludes that it is optimal for TelecomOptic to close the plants in Salt Lake City and Wichita, while keeping the plants in Baltimore, Cheyenne, and Memphis open. The total monthly cost of this network and operation is $47,401,000. This cost represents savings of about $3 million per month compared with the situation in which TelecomOne and HighOptic operate separate supply chain networks.

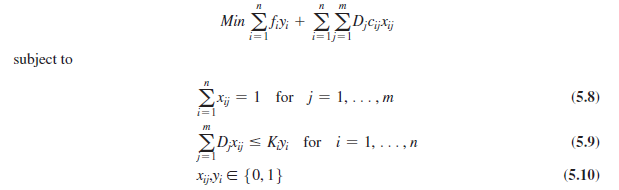
LOCATING PLANTS: THE CAPACITATED PLANT LOCATION MODEL WITH SINGLE SOURCING
In some cases, companies want to design supply chain networks in which a market is supplied from only one factory, referred to as a single source. Companies may impose this constraint because it lowers the complexity of coordinating the network and requires less flexibility from each facility. The plant location model discussed earlier needs some modification to accommodate this constraint. The decision variables are redefined as follows:
yi = 1 if factory is located at site i, 0 otherwise
xij = 1 if market j is supplied by factory i, 0 otherwise
The problem is formulated as the following integer program:

The constraints in Equations 5.8 and 5.10 enforce that each market is supplied by exactly one factory.
We do not describe the solution of the model in Excel because it is very similar to the model discussed earlier. The optimal network with single sourcing for TelecomOptic is shown in Table 5-4 (see sheet Table 5-4 Single Sourcing in spreadsheet Figures 5-9 to 12).
If single sourcing is required, it is optimal for TelecomOptic to close the factories in Baltimore and Cheyenne. This is different from the result in Figure 5-12, in which factories in Salt Lake City and Wichita were closed. The monthly cost of operating the network in Table 5-4 is $49,717,000. This cost is about $2.3 million higher than the cost of the network in Figure 5-12, in which single sourcing was not required. The supply chain team thus concludes that single sourcing adds about $2.3 million per month to the cost of the supply chain network, although it makes coordination easier and requires less flexibility from the plants.
LOCATING PLANTS AND WAREHOUSES SIMULTANEOUSLY A much more general form of the plant location model needs to be considered if the entire supply chain network from the supplier to the customer is to be designed. We consider a supply chain in which suppliers send material to factories that supply warehouses that supply markets, as shown in Figure 5-13. Location and capacity allocation decisions must be made for both factories and warehouses. Multiple warehouses may be used to satisfy demand at a market, and multiple factories may be used to replenish warehouses. It is also assumed that units have been appropriately adjusted such that one unit of input from a supply source produces one unit of the finished product. The model requires the following inputs:


m = number of markets or demand points
n = number of potential factory locations
l = number of suppliers
t = number of potential warehouse locations
Dj = annual demand from customer j
K = potential capacity of factory at site i
Sh = supply capacity at supplier h
We = potential warehouse capacity at site e
Fi = fixed cost of locating a plant at site i
fe = fixed cost of locating a warehouse at site e
chi = cost of shipping one unit from supply source h to factory i
cie = cost of producing and shipping one unit from factory i to warehouse e
cej = cost of shipping one unit from warehouse e to customer j
The goal is to identify plant and warehouse locations, as well as quantities shipped between various points, that minimize the total fixed and variable costs. Define the following decision variables:
yi = 1 if factory is located at site i, 0 otherwise
ye = 1 if warehouse is located at site e, 0 otherwise
xej = quantity shipped from warehouse e to market j
xie = quantity shipped from factory at site i to warehouse e
xhi = quantity shipped from supplier h to factory at site i
The problem is formulated as the following integer program:

The objective function minimizes the total fixed and variable costs of the supply chain network subject to the following constraints:

The constraint in Equation 5.11 specifies that the total amount shipped from a supplier cannot exceed the supplier’s capacity.

The constraint in Equation 5.12 states that the amount shipped out of a factory cannot exceed the quantity of raw material received.

The constraint in Equation 5.13 enforces that the amount produced in the factory cannot exceed its capacity.

The constraint in Equation 5.14 specifies that the amount shipped out of a warehouse cannot exceed the quantity received from the factories.
![]()
The constraint in Equation 5.15 specifies that the amount shipped through a warehouse cannot exceed its capacity.
![]()
The constraint in Equation 5.16 specifies that the amount shipped to a customer must cover the demand.
![]()
The constraint in Equation 5.17 enforces that each factory or warehouse is either open or closed.
The model discussed earlier can be modified to allow direct shipments between factories and markets. All the models discussed previously can also be modified to accommodate economies of scale in production, transportation, and inventory costs. However, these requirements make the models more difficult to solve.
4. Accounting for Taxes, Tariffs, and Customer Requirements
Network design models should be structured such that the resulting supply chain network maximizes profits after tariffs and taxes while meeting customer service requirements. The models discussed earlier can be modified to maximize profits accounting for taxes, even when revenues are in different currencies. If Tj is the revenue from selling one unit in market j, the objective function of the capacitated plant location model can be modified to be

This objective function maximizes profits for the firm. When using a profit maximization objective function, a manager should modify the constraint in Equation 5.1 to be
![]()
The constraint in Equation 5.18 is more appropriate than the constraint in Equation 5.1 because it allows the network designer to identify the demand that can be satisfied profitably and the demand that is satisfied at a loss to the firm. The plant location model with Equation 5.18 instead of Equation 5.1 and a profit maximization objective function will serve only that portion of demand that is profitable to serve. This may result in some markets in which a portion of the demand is dropped, unless constrained otherwise, because it cannot be served profitably.
Customer preferences and requirements may be in terms of desired response time and the choice of transportation mode or transportation provider. Consider, for example, two modes of transportation available between plant location i and market j. Mode 1 may be sea and mode 2 may be air. The plant location model is modified by defining two distinct decision variables x1j and xj corresponding to the quantity shipped from location i to market j using modes 1 and 2, respectively. The desired response time using each transportation mode is accounted for by allowing shipments only when the time taken is less than the desired response time. For example, if the time from location i to market j using mode 1 (sea) is longer than would be acceptable to the customer, we simply drop the decision variable x1j from the plant location model. The option among several transportation providers can be modeled similarly.
Source: Chopra Sunil, Meindl Peter (2014), Supply Chain Management: Strategy, Planning, and Operation, Pearson; 6th edition.


Greetings! I know this is kind of off topic but I was wondering
which blog platform are you using for this site?
I’m getting sick and tired of WordPress because I’ve had problems with hackers and
I’m looking at options for another platform. I would be great if you could point me in the direction of a good platform.
I am truly thankful to the holder of this web site who has shared this impressive paragraph at at this
time.
Thanks for sharing your thoughts about website.
Regards
Hello everyone, it’s my first go to see at this website, and article is really fruitful designed for me,
keep up posting such posts.
Hi there, yup this article is actually pleasant and I have learned lot of things
from it regarding blogging. thanks.