Non-parametric tests use statistics (that is, calculations) that have been established from observations, and do not depend on the distribution of the corresponding population. The validity of non-parametric tests depends on very general conditions that are much less restrictive than those that apply to parametric tests.
Non-parametric tests present a number of advantages, in that they are applicable to:
- small samples
- various types of data (nominal, ordinal, intervals, ratios)
- incomplete or imprecise data.
1. Testing One Variable in Several Samples
1.1. Comparing a distribution to a theoretical distribution: goodness-of-fit test
Research question Does the empirical distribution De, observed in a sample, differ significantly from a reference distribution Dr?
Application conditions
- The sample is random and contains n independent observations arranged into k
- A reference distribution, Dr, has been chosen (normal distribution, Chi- square, etc.).
Hypotheses
Null hypothesis, H0: De = Dr,
alternative hypothesis, H1: De # Dr
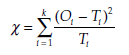
Statistic
The statistic calculated is

where, for each of the k classes, Ot is the number of observations made on the sample and Tt is the theoretical number of observations calculated according to the reference distribution Dr.
The statistic c follows a chi-square distribution with k – 1 – r degrees of freedom, where r is the number of parameters of the reference distribution that have been estimated with the aid of observations.
Interpreting the test The decision rule is the following:
H0 will be rejected if
![]()
1.2. Comparing the distribution of a variable X in two populations (Kolmogorov-Smirnov test)
Research question Is the variable X distributed identically in two populations, A and B?
The Kolmogorov-Smirnov test may also be used to compare an observed distribution to a theoretical one.
Application conditions
- The two samples are random and contain nA and nB independent observations, taken from populations A and B
- The variable X is an interval or a ratio variable of any distribution.
- The classes are defined in the same way in both samples.
Hypotheses
Null hypothesis, H0: The distribution of variable X is identical in A and B, alternative hypothesis, H1: The distribution of variable X is different in A and B.
Statistic
The statistic calculated is:
![]()
where FA(x) and FB(x) represent the cumulated frequencies of the classes in A and in B. These values are compared to the critical values d0 of the Kolmogorov-Smirnov table.
Interpreting the test The decision rule is the following: H0 will be rejected if d > d0.
1.3. Comparing the distribution of a variable X in two populations: Mann-Whitney U test
Research question Is the distribution of the variable X identical in the two populations A and B?
Application conditions
- The two samples are random and contain nA and nB independent observations from populations A and B respectively (where nA > nB). If required, the notation of the samples may be inverted.
- The variable X is ordinal.
Hypotheses
Null hypothesis, H0: The distribution of the variable X is identical in A and B, alternative hypothesis, Hp The distribution of the variable X is different in A and B.
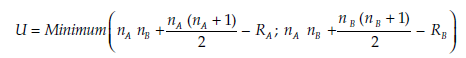
Statistic
(A1, A2, …, AnA) is a sample, of size nA, selected from population A, and (B1, B2, …, BnB) is a sample of size nB selected from population B. N = nA + nB observations are obtained, which are classed in ascending order regardless of the samples they are taken from. Each observation is then given a rank: 1 for the smallest value, up to N for the greatest.
The statistic calculated is:

where RA is the sum of the ranks of the elements in A, and RB the sum of the ranks of the elements in B. The statistic U is compared to the critical values Ua of the Mann-Whitney table.
Interpreting the test The decision rule is the following: H0 will be rejected if U < Ua.
For large values of nA and nB (that is, > 12),

tends rapidly toward a standard normal distribution. U’ may then be used, in association with the decision rules of the standard normal distribution for rejecting or not rejecting the null hypothesis.
1.4. Comparing the distribution of a variable X in two populations: Wilcoxon test
Research question Is the distribution of the variable X identical in the two populations A and B?
Application conditions
- The two samples are random and contain nA and nB independent observations from populations A and B
- The variable X is at least ordinal.
Hypotheses
Null hypothesis, H0: The distribution of variable X is identical in A and B, alternative hypothesis, H1: The distribution of variable X is different in A and B.
Statistic
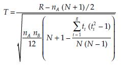
(A1, A2, …, AnA) is a sample, of size nA, selected from population A, and (B1, B2, …, BnB) is a sample of size nB selected from population B. N = nA + nB observations are obtained, which are classed in ascending order regardless of the samples they are taken from. Each observation is then given a rank: 1 for the smallest value, up to N for the greatest.
The statistic calculated is:

where R(A) is the rank of observation A;, i = 1,2, …, nA and

the sum of all the ranks of the observations from sample A.
The statistic T is compared to critical values Ra available in a table.
Interpreting the test The decision rule is the following:
H0 will be rejected if R < Ra.
If N is sufficiently large (that is, n > 12), the distribution of T approximates a standard normal distribution, and the corresponding decision rules apply, as described above. When a normal distribution is approximated, a mean rank can be associated with any equally placed observations, and the formula becomes:

where g is the number of groups of equally-placed ranks and tt is the size of group i.
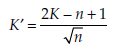
1.5. Comparing variable distribution in two populations: testing homogenous series
Research question Is the distribution of the variable X identical in the two populations A and B?
Application conditions
- The two samples are random and contain nA and nB independent observations from the populations A and B
- The variable X is at least ordinal.
Hypotheses
Null hypothesis, H0: The distribution of the variable X is identical in A and B, alternative hypothesis, H1: The distribution of the variable X is different in A and B.
Statistic
(A1, A2, … , AnA) is a sample, of size nA, selected from population A, and (B1, B2, …, BnB) is a sample of size nB selected from population B. N = nA + nB observations are obtained, which are classed in ascending order regardless of the samples they are taken from. Each observation is then given a rank: 1 for the smallest value, up to N for the greatest.
The statistic calculated is:
R = the longest ‘homogenous series’ (that is, series of consecutive values belonging to one sample) found in the general series ranking the nA + nB observations. The statistic R is compared to critical values Ca available in a table.
Interpreting the test The decision rule is the following:
H0 will be rejected if R < Ca.
For large values of nA and nB (that is, > 20),

tends towards the standard normal distribution. R’ may then be used instead, in association with the decision rules of the standard normal distribution for rejecting or not rejecting the null hypothesis.
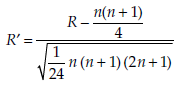
1.6. Comparing the distribution of a variable X in k populations: Kruskal-Wallis test or analysis of variance by ranking
Research question Is the distribution of the variable X identical in the k populations A1, A2, … , Ak?
Application conditions
- The two samples are random and contain n1, n2,… nk independent observations from the populations Av A2, … Ak.
- The variable X is at least ordinal.
Hypotheses
Null hypothesis, H0: The distribution of the variable X is identical in all k populations,
alternative hypothesis, Hp The distribution of the variable X is different in at least one of the k populations.
Statistic
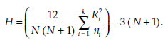
(Au, A12, … , A1n1) is a sample of size n1 selected from population Ak and (A21, A22, … , A2n2) is a sample of size n2 selected from population A2.

observations are obtained, which are classed in ascending order regardless of the samples they are taken from. Each observation is then given a rank: 1 for the smallest value, up to N for the greatest. For equal observations, a mean rank is attributed. Rt is the sum of the ranks attributed to observations of sample A.
The statistic calculated is:

If a number of equal values are found, a corrected value is used:

where g is the number of groups of equal values, and ti the size of group i. Interpreting the test The decision rule is the following:
H0 will be rejected if H (or, the case being, H’) >%2 _a; k _ 1 or a corresponding value in the Kruskal-Wallis table.
If the Kruskal-Wallis test leads to the rejection of the null hypothesis, it is possible to identify which pairs of populations tend to be different. This requires the application of either the Wilcoxon signed test or the sign test if the samples are matched (that is, logically linked, such that the pairs or n-uplets of observations in the different samples contain identical or similar individuals), or a Mann-Whitney U or Wilcoxon test if the samples are not matched. This is basically the same logic as used when associating the analysis of variance and the LSD test. The Mann-Whitney U is sometimes called analysis of variance by rank.
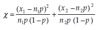
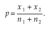
1.7. Comparing two proportions or percentages (small samples)
Research question Do the two proportions or percentages p1 and p2, observed in two samples, differ significantly from each other?
Application conditions
- The two samples are random and contain n1 and n2 independent observations respectively.
- The size of the samples is small (n1 < 30 and n2 < 30).
- The two proportions p1 and p2 as well as their complements 1-p1 and 1-p2 represent at least 5 observations.
Hypotheses
Null hypothesis, H0: π1 = π2, alternative hypothesis, H1: π1 # π2
Statistic
The statistic calculated is

where x1 is the number of observations in sample 1 (size n1) corresponding to the proportion p1, X2 is the number of observations in sample 2 (size n2) corresponding to the proportion p2, and

This statistic % follows a chi-square distribution with 1 degree of freedom.
Interpreting the test The decision rule is the following:
H0 will be rejected if x > x2a1
2. Tests on More than One Variable in One or Several Matched Samples
Two or more samples are called matched when they are linked in a logical manner, and the pairs or n-uplets of observations of different samples contain identical or very similar individuals. For instance, samples comprised of the same people observed at different moments in time may comprise as many matched samples as observation points in time. Similarly, a sample of n individuals and another containing their n twins (or sisters, brothers, children, etc.) may be made up of matched samples in the context of a genetic study.
2.1. Comparing any two variables: independence or homogeneity test
Research question Are the two variables X and Y independent?
Application conditions
- The sample is random and contains n independent observations.
- The observed variables X and Y may be of any type (nominal, ordinal, interval, ratio) and are illustrated by kX and kY
Hypotheses
Null hypothesis, H0: X and Y are independent, alternative hypothesis, H1: X and Y are dependent
Statistic
The statistic calculated is

where ni, designates the number of observations presenting both characteristics Xt and Y, (i varying from 1 to kX; j from 1 to kY),

is the number of observations presenting the characteristics Xi and

is the number of observations presenting the characteristics Xj.
This statistic % follows a chi-square distribution with (kX – 1) (kY – 1) degrees of freedom.
Interpreting the test The decision rule is the following:
H0 WiH be rejected if x > x2a.(kX _ 1) (y _ 1)
2.2. Comparing two variables X and Y measured from two matched samples A and B: sign test
Research question Are the two variables X and Y, measurable for two matched samples A and B, identically distributed?
Application conditions
- The two samples are random and matched.
- The n pairs of observations are independent.
- The variables X and Y are at least ordinal.
Hypotheses
Null hypothesis, H0: The distribution of the two variables is identical in the two matched samples,
alternative hypothesis, H1: The distribution of the two variables is different in the two matched samples.
Statistic
The pairs (a1, b1), (a2, b2), … , (an, bn) are n pairs of observations, of which the first element is taken from population A and the second from population B. The difference at – bt is calculated for each of these n pairs of observations (a, b). The number of positive differences is represented by k+, and the number of negative differences by k-. The statistic calculated is:
K = Minimum (k+, k-).
The statistic K is compared to critical values Ca available in a table.
Interpreting the Test The decision rule is the following:
H0 will be rejected if K < Ca.
For sufficiently large values of n (that is, n > 40),

tends towards the standard normal distribution. K’ may then be used instead, in association with the decision rules of the standard normal distribution for rejecting or not rejecting the null hypothesis.
2.3. Comparing variables from matched samples: Wilcoxon sign test
Research question Are the two variables X and Y, measured from two matched samples A and B, identically distributed?
Application conditions
- The two samples are random and matched.
- The n pairs of observations are independent.
- The variables X and Y are at least ordinal.
Hypotheses
Null hypothesis, H0: The distribution of the two variables is identical in the two matched samples,
alternative hypothesis, Hp The distribution of the two variables is different in the two matched samples.
Statistic
(a1, bj), (a2, b2), … , (an, bn) are n pairs of observations, of which the first element is taken from the population A and the second from the population B. For each pair of observations, the difference dt = at – bt is calculated. In this way n differences di are obtained, and these are sorted in ascending order. They are ranked from 1, for the smallest value, to n, for the greatest. For equal-value rankings, a mean rank is attributed. Let R+ be the sum of the positive differences and R— the sum of the negative ones.
The statistic calculated is:
R = Minimum (R+, R-)
The statistic R is compared to critical values Ra available in a table.
Interpreting the test The decision rule is the following: H0 will be rejected if R < Ra.
For large values of n (that is, n > 20),

tends towards a standard normal distribution. R’ may then be used in association with the decision rules of the standard normal distribution for rejecting or not rejecting the null hypothesis.
2.4. Comparing variables from matched samples: Kendall rank correlation test
Research question Are the two variables, X and Y, measured for two matched samples A and B, independent?
Application conditions
- The two samples are random and matched.
- The n pairs of observations are independent.
- The variables X and Y are at least ordinal.
Hypotheses
Null hypothesis, H0: X and Y are independent, alternative hypothesis, H1: X and Y are dependent.
Statistic
The two variables (X, Y) observed in a sample of size n give n pairs of observations (X1, Y1), (X2, Y2), … , (Xn, Yn). An indication of the correlation between
variables X and Y can be obtained by sorting the values of Xi in ascending order and counting the number of corresponding Yi values that do not respect this order. Sorting the values in ascending order guarantees that Xi < Xj for any value of i < j.
Let R be the number of pairs (Xi, Y.) such that, if i < j, Xi < Xj and Yi < Y.
The statistic calculated is:

The statistic S is then compared to critical values Sa available in a table. Interpreting the test The decision rule is the following:
H0 will be rejected if S > Sa. In case of rejection of H0, the sign of S indicates the direction of the dependency.
For large values of n (that is, n > 15),

tends towards a standard normal distribution. S’ may then be used instead, in association with the decision rules of the standard normal distribution for rejecting or not rejecting the null hypothesis.
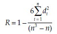
2.5. Comparing two variables X and Y measured from two matched samples A and B: Spearman rank correlation test
Research question Are the two variables X and Y, measured for two matched samples A and B, independent?
Application conditions
- The two samples are random and of the same size, n.
- The observations in each of the samples are independent.
- The variables X and Y are at least ordinal.
Hypotheses
Null hypothesis, H0: X and Y are independent, alternative hypothesis, H1: X and Y are dependent.
Statistic
The two variables (X, Y) observed in a sample of size n give n pairs of observations (X1, Y1), (X2, Y2) … (Xn, Yn). The values of Xi and Yj can be classed separately in ascending order. Each of the values Xi and Yj is then attributed a rank
between 1 and n. Let R(Xt) be the rank of the value Xi, R(Yt) the rank of the value Y and di = R(X) – R(Y).
The Spearman rank correlation coefficient is:

Interpreting the test The Spearman rank correlation coefficient R can be evaluated in the same way as a classical correlation coefficient (see Sections 4.1 through 4.3 in main Section 2).
2.6. Comparing classifications
Research question Are k classifications of n elements identical?
This type of test can be useful, for instance, when comparing classifications made by k different experts, or according to k different criteria or procedures.
Application conditions
- A set of n elements E1, E2, …, En has been classified by k different procedures
Hypotheses
Null hypothesis, H0: the k classifications are identical, alternative hypothesis, H1: At least one of the k classifications is different from the others
Statistic
The statistic calculated is:

where rij is the rank attributed to the element Ei by the procedure j (expert opinion, criteria, method …).
The statistic X is compared to critical values Xa available in a table.
Interpreting the test The decision rule is the following:
H0 will be rejected if S > Xa.
Source: Thietart Raymond-Alain et al. (2001), Doing Management Research: A Comprehensive Guide, SAGE Publications Ltd; 1 edition.

26 Jul 2021
26 Jul 2021
26 Jul 2021
26 Jul 2021
26 Jul 2021
26 Jul 2021