To illustrate this point, we deliberately work with a small set. Consider a population of six elements, a, b, c, d, e, and f out of which we want to have a random sample of two elements.
The possibilities are fifteen subsets:

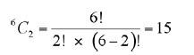
This is the same as the number of combinations among six things, taken two at a time, which was previously shown to be nCr, in this case,

In any one sampling, any one of these subsets has an equal chance of being picked up. If it is done “at random,” each of these fifteen subsets has a probability of 1/15, that is, 1/nCr, of appearing as the sample. In the above list of fifteen, a is included in five subsets, which is also true for b, c, d, e, andf Each item of the set (or population) has an equal chance of being chosen, which is, indeed, the definition of random sampling. Now, conversely, we may generalize random sampling as follows: If r items are chosen from a set (or population) of n items, such that each possible subset has the probability of 1/nCr for being chosen, the r items so chosen are random samples.
Source: Srinagesh K (2005), The Principles of Experimental Research, Butterworth-Heinemann; 1st edition.

Hi colleagues, how is everything, and what you
desire to say on the topic of this paragraph, in my view its truly awesome designed
for me.