The goal of any forecasting method is to predict the systematic component of demand and estimate the random component. In its most general form, the systematic component of demand data contains a level, a trend, and a seasonal factor. The equation for calculating the systematic component may take a variety of forms:
- Multiplicative: Systematic component = level X trend X seasonal factor
- Additive: Systematic component = level + trend + seasonal factor
- Mixed: Systematic component = (level + trend) X seasonal factor
The specific form of the systematic component applicable to a given forecast depends on the nature of demand. Companies may develop both static and adaptive forecasting methods for each form. We now describe these static and adaptive forecasting methods.
1. Static methods
A static method assumes that the estimates of level, trend, and seasonality within the systematic component do not vary as new demand is observed. In this case, we estimate each of these parameters based on historical data and then use the same values for all future forecasts. In this section, we discuss a static forecasting method for use when demand has a trend as well as a seasonal component. We assume that the systematic component of demand is mixed; that is,
Systematic component = (level + trend) X seasonal factor
A similar approach can be applied for other forms as well. We begin with a few basic definitions:
L = estimate of level at t = 0 (the deseasonalized demand estimate during Period t = 0)
T = estimate of trend (increase or decrease in demand per period)
St = estimate of seasonal factor for Period t
Dt = actual demand observed in Period t
Ft = forecast of demand for Period t

In a static forecasting method, the forecast in Period t for demand in Period t +1 is a product of the level in Period t +1 and the seasonal factor for Period t +1. The level in Period t +1 is the sum of the level in Period 0 (L) and (t + l) times the trend T. The forecast in Period t for demand in Period t +1 is thus given as
![]()
We now describe one method for estimating the three parameters L, T, and S. As an example, consider the demand for rock salt used primarily to melt snow. This salt is produced by a firm called Tahoe Salt, which sells its salt through a variety of independent retailers around the Lake Tahoe area of the Sierra Nevada Mountains. In the past, Tahoe Salt has relied on estimates of demand from a sample of its retailers, but the company has noticed that these retailers always overestimate their purchases, leaving Tahoe (and even some retailers) stuck with excess inventory. After meeting with its retailers, Tahoe has decided to produce a collaborative forecast. Tahoe Salt wants to work with the retailers to create a more accurate forecast based on the actual retail sales of their salt. Quarterly retail demand data for the past three years are shown in Table 7-1 and charted in Figure 7-1.

In Figure 7-1, observe that demand for salt is seasonal, increasing from the second quarter of a given year to the first quarter of the following year. The second quarter of each year has the lowest demand. Each cycle lasts four quarters, and the demand pattern repeats every year. There is also a growth trend in the demand, with sales growing over the past three years. The company estimates that growth will continue in the coming year at historical rates. We now describe the following two steps required to estimate each of the three parameters—level, trend, and seasonal factors.
- Deseasonalize demand and run linear regression to estimate level and trend.
- Estimate seasonal factors.
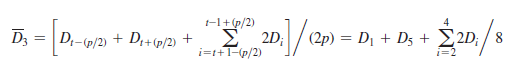
ESTIMATING LEVEL AND TREND The objective of this step is to estimate the level at Period 0 and the trend. We start by deseasonalizing the demand data. Deseasonalized demand represents the demand that would have been observed in the absence of seasonal fluctuations. The periodicity (p) is the number of periods after which the seasonal cycle repeats. For Tahoe Salt’s demand, the pattern repeats every year. Given that we are measuring demand on a quarterly basis, the periodicity for the demand in Table 7-1 is p = 4.
To ensure that each season is given equal weight when deseasonalizing demand, we take the average of p consecutive periods of demand. The average of demand from Period l + 1 to Period l + p provides deseasonalized demand for Period l + (p + 1)/2. If p is odd, this method provides deseasonalized demand for an existing period. If p is even, this method provides deseasonalized demand at a point between Period l + (p/2) and Period l + 1 + (p/2). By taking the average of deseasonalized demand provided by Periods l + 1 to l + p and l + 2 to l + p + 1, we obtain the deseasonalized demand for Period l + 1 + (p/2) if p is even. Thus, the deseasonalized demand, Dt, for Period t, can be obtained as follows:

In our example, p = 4 is even. For t = 3, we obtain the deseasonalized demand using Equation 7.2 as follows:

With this procedure, we can obtain deseasonalized demand between Periods 3 and 10 as shown in Figures 7-2 and 7-3 (all details are available in the accompanying spreadsheet Chapter 7-Tahoe-salt).
The following linear relationship exists between the deseasonalized demand, Dt, and time t, based on the change in demand over time:
![]()
In Equation 7.3, Dt represents deseasonalized demand and not the actual demand in Period t, L represents the level or deseasonalized demand at Period 0, and T represents the rate of growth of deseasonalized demand or trend. We can estimate the values of L and T for the deseasonalized demand using linear regression with deseasonalized demand (see Figure 7-2) as the dependent variable and time as the independent variable. Such a regression can be run using Microsoft Excel (Data | Data Analysis | Regression). This sequence of commands opens the Regression dialog box in Excel. For the Tahoe Salt workbook in Figure 7-2, in the resulting dialog box, we enter

Input Y Range:C4:C11
Input X Range:A4:A11
and click the OK button. A new sheet containing the results of the regression opens up (see worksheet Regression-1). This new sheet contains estimates for both the initial level L and the trend T. The initial level, L, is obtained as the intercept coefficient, and the trend, T, is obtained as the X variable coefficient (or the slope) from the sheet containing the regression results. For the Tahoe Salt example, we obtain L = 18,439 and T = 524 (all details are available in the worksheet Regression-1 and numbers are rounded to integer values). For this example, deseasonalized demand Dt for any Period t is thus given by
![]()
It is not appropriate to run a linear regression between the original demand data and time to estimate level and trend because the original demand data are not linear and the resulting linear regression will not be accurate. The demand must be deseasonalized before we run the linear regression.

ESTIMATING SEASONAL FACTORS We can now obtain deseasonalized demand for each period using Equation 7.4 (see Figure 7-4). The seasonal factor St for Period t is the ratio of actual demand Dt to deseasonalized demand Dt and is given as
![]()
For the Tahoe Salt example, the deseasonalized demand estimated using Equation 7.4 and the seasonal factors estimated using Equation 7.5 are shown in Figure 7-4 (see worksheet Figure 7-4).
Given the periodicity p, we obtain the seasonal factor for a given period by averaging seasonal factors that correspond to similar periods. For example, if we have a periodicity of p = 4, Periods 1, 5, and 9 have similar seasonal factors. The seasonal factor for these periods is obtained as the average of the three seasonal factors. Given r seasonal cycles in the data, for all periods of the form pt + i, 1 < i < p, we obtain the seasonal factor as

For the Tahoe Salt example, a total of 12 periods and a periodicity of p = 4 imply that there are r = 3 seasonal cycles in the data. We obtain seasonal factors using Equation 7.6 as

At this stage, we have estimated the level, trend, and all seasonal factors. We can now obtain the forecast for the next four quarters using Equation 7.1. In the example, the forecast for the next four periods using the static forecasting method is given by

![]()
Tahoe Salt and its retailers now have a more accurate forecast of demand. Without the sharing of sell-through information between the retailers and the manufacturer, this supply chain would have a less accurate forecast, and a variety of production and inventory inefficiencies would result.
2. Adaptive Forecasting
In adaptive forecasting, the estimates of level, trend, and seasonality are updated after each demand observation. The main advantage of adaptive forecasting is that estimates incorporate all new data that are observed. We now discuss a basic framework and several methods that can be used for this type of forecast. The framework is provided in the most general setting, when the systematic component of demand data has the mixed form and contains a level, a trend, and a seasonal factor. It can easily be modified for the other two cases, however. The framework can also be specialized for the case in which the systematic component contains no seasonality or trend. We assume that we have a set of historical data for n periods and that demand is seasonal, with periodicity p. Given quarterly data, wherein the pattern repeats itself every year, we have a periodicity of p = 4.
We begin by defining a few terms:
Lt = estimate of level at the end of Period t
Tt = estimate of trend at the end of Period t
St = estimate of seasonal factor for Period t
Ft = forecast of demand for Period t (made in Period t – 1 or earlier)
Dt = actual demand observed in Period t
Et = Ft – Dt = forecast error in Period t
In adaptive methods, the forecast for Period t + l in Period t uses the estimate of level and trend in Period t (Lt and Tt respectively) and is given as
![]()
The four steps in the adaptive forecasting framework are as follows:
- Initialize: Compute initial estimates of the level (L0), trend (T0), and seasonal factors (S1, . . . , Sp) from the given data. This is done exactly as in the static forecasting method discussed earlier in the chapter with L0 = L and T0 = T.
- Forecast: Given the estimates in Period t, forecast demand for Period t + 1 using Equation 7.7. Our first forecast is for Period 1 and is made with the estimates of level, trend, and seasonal factor at Period 0.
- Estimate error: Record the actual demand Dt+1 for Period t + 1 and compute the error Et+1 in the forecast for Period t + 1 as the difference between the forecast and the actual demand. The error for Period t + 1 is stated as
![]()
- Modify estimates: Modify the estimates of level (Lt+1), trend (Tt+1), and seasonal factor (St+p+1), given the error Et+1 in the forecast. It is desirable that the modification be such that if the demand is lower than forecast, the estimates are revised downward, whereas if the demand is higher than forecast, the estimates are revised upward.
The revised estimates in Period t + 1 are then used to make a forecast for Period t + 2, and Steps 2, 3, and 4 are repeated until all historical data up to Period n have been covered. The estimates at Period n are then used to forecast future demand.
We now discuss various adaptive forecasting methods. The method that is most appropriate depends on the characteristic of demand and the composition of the systematic component of demand. In each case, we assume the period under consideration to be t.
MOVING AVERAGE The moving average method is used when demand has no observable trend or seasonality. In this case,
Systematic component of demand = level
In this method, the level in Period t is estimated as the average demand over the most recent N periods. This represents an N-period moving average and is evaluated as follows:
![]()
The current forecast for all future periods is the same and is based on the current estimate of level. The forecast is stated as
![]()
After observing the demand for Period t + 1, we revise the estimates as follows:
![]()
To compute the new moving average, we simply add the latest observation and drop the oldest one. The revised moving average serves as the next forecast. The moving average corresponds to giving the last N periods of data equal weight when forecasting and ignoring all data older than this new moving average. As we increase N, the moving average becomes less responsive to the most recently observed demand. We illustrate the use of the moving average in Example 7-1.
EXAMPLE 7-1 Moving Average
The Agricultural Market Report published by DEFRA indicates weekly sales of “wheat cereals” in Great Britain over the four weeks of April 2009 to be 38, 35, 77, and 90 thousand tons. Calculate the sales forecast for the first week of May using a four-period moving average. What is the forecast error if the sale in the first week of May turns out to be 80 thousand tons?*
Analysis:
We make the forecast for Period 5 (first week of May) at the end of Period 4 (last week of April). Thus, assume the current period to be t = 4. Our first objective is to estimate the level in Period 4. Using Equation 7.9 with N = 4, we obtain
L4 = (D1 + D2 + D3 + D4) /4 = (38 + 35 + 77 + 90) /4 = 60
The forecast of demand for Period 5, using Equation 7.10, is expressed as
F5 = L4 = 60 thousands tons
As the sale in Period 5, D5, is 80, we have a forecast error for Period 5 of
E5 = F5 – D5 = 60 – 80 = -20
After observing demand in Period 5, the revised estimate of level for Period 5 is given by
L5 = (D2 + D3 + D4 + D5) /4 = (35 + 77 + 90 + 80) /4 = 70.5
SIMPLE EXPONENTIAL SMOOTHING The simple exponential smoothing method is appropriate when demand has no observable trend or seasonality. In this case,
Systematic component of demand = level
The initial estimate of level, L0, is taken to be the average of all historical data because demand has been assumed to have no observable trend or seasonality. Given demand data for Periods 1 through n, we have the following:
![]()
The current forecast for all future periods is equal to the current estimate of level and is given as
![]()
After observing the demand, Dt+1, for Period t + 1, we revise the estimate of the level as follows:
![]()
where a (0 < a < 1) is a smoothing constant for the level. The revised value of the level is a weighted average of the observed value of the level (Dt+1) in Period t + 1 and the old estimate of the level (Lt) in Period t. Using Equation 7.13, we can express the level in a given period as a function of the current demand and the level in the previous period. We can thus rewrite Equation 7.13 as
![]()
The current estimate of the level is a weighted average of all the past observations of demand, with recent observations weighted higher than older observations. A higher value of a corresponds to a forecast that is more responsive to recent observations, whereas a lower value of a represents a more stable forecast that is less responsive to recent observations. We illustrate the use of exponential smoothing in Example 7-2.
EXAMPLE 7-2 Simple Exponential Smoothing
Consider the sales report in Example 7-1, where weekly sales for wheat cereals in Great Britain has been 38, 35, 77 and 90 thousand tons over the four weeks of April 2009. Calculate the sales forecast for Period 1 (first week of April) using simple exponential smoothing with t a = 0.1.*
Analysis
In this case we have demand data for n = 4 periods. Using Equation 7.11, the initial estimate of level is expressed by

The forecast for Period 1 (using Equation 7.12) is thus given by
F1 = L0 = 60
The observed demand for Period 1 is D1 = 38. The forecast error for Period 1 is given by
E1 = F1 – Di = 60 – 38 = 22
With a = 0.1, the revised estimate of level for Period 1 using Equation 7.13 is given by
L1 = aDi + (1 – a)L0 = 0.1 X 38 + 0.9 X 60 = 57.8
Observe that the estimate of level for Period 1 is lower than for Period 0 because the demand in Period 1 is lower than the forecast for Period 1. We thus obtain F3 = 55.52, F4 = 57.67, and F5 = 60.90. Thus, the forecast for period 5 is 60.90.
TREND-CORRECTED EXPONENTIAL SMOOTHING (HOLT’S MODEL) The trend-corrected exponential smoothing (Holt’s model) method is appropriate when demand is assumed to have a level and a trend in the systematic component, but no seasonality. In this case, we have
Systematic component of demand = level + trend
We obtain an initial estimate of level and trend by running a linear regression between demand, Dt, and time, Period t, of the form
Dt = at + b
In this case, running a linear regression between demand and time periods is appropriate because we have assumed that demand has a trend but no seasonality. The underlying relationship between demand and time is thus linear. The constant b measures the estimate of demand at Period t = 0 and is our estimate of the initial level L0. The slope a measures the rate of change in demand per period and is our initial estimate of the trend T0.
In Period t, given estimates of level Lt and trend Tt, the forecast for future periods is expressed as
![]()
After observing demand for Period t, we revise the estimates for level and trend as follows:

where a(0 < a < 1) is a smoothing constant for the level and b (0 < b < 1) is a smoothing constant for the trend. Observe that in each of the two updates, the revised estimate (of level or trend) is a weighted average of the observed value and the old estimate. We illustrate the use of Holt’s model in Example 7-3 (see associated spreadsheet Examples 1-4 Chapter 7).
EXAMPLE 7-3 Holt’s Model
Japan National Tourist Organization has reported a constant increase in number of visitors to Japan during the last ten years. For example, the number of visitors to Japan from other Asian countries during the period of 2002-2007 has been 3,417,774; 3,511,513; 4,208,095; 4,627,478; 5,247,125; and 6,130,262 annually. Forecast the number of visitors for 2008 using trend-corrected exponential smoothing with a = 0.1, b = 0.2.[1]
Analysis
The first step is to obtain initial estimates of level and trend using linear regression. The estimate of initial level L0 is obtained as the intercept coefficient and the trend T0 is obtained as variable coefficient (or the slope). From the given data we obtain:
L0 = 2,604,842 and T0 = 548,247
The forecast for Period 1 (2002) using Equation 7.14 is thus given by
F1 = L0 + T0 = 2,604,842 + 548,247 = 3,153,809
The observed demand for Period 1 is D1 = 3,417,774. The error for Period 1 is thus given by
E1 = F1 – D1 = 3,158,089 – 3,417,774 = -264,685
With a = 0.1, b = 0.2, the revised estimate of level and trend for Period 1 using Equations 7.15 and 7.16 is given by
L1 = aD1 + (1 – a)(L0 + T0) = 0.1 X 3,417,774 + 0.9 X 3,153,089 = 3,179,558 T1 = b(L1 – L0) + (1 – b)T0 = 0.2 X (3,179,558 – 2,604,842) + 0.8 X 548,247 = 553,541
Thus,
F2 = L1 + T = 3,179,558 + 553,541 = 3,733,099
Continuing in this manner, the forecast for 2008 (period 7) would be
F7 = L6 + T6 = 6,439,353
TREND- AND SEASONALITY-CORRECTED EXPONENTIAL SMOOTHING (WINTER’S MODEL) This method is appropriate when the systematic component of demand has a level, a trend, and a seasonal factor. In this case we have
Systematic component of demand = (level + trend) X seasonal factor
Assume periodicity of demand to be p. To begin, we need initial estimates of level (L0), trend (T0), and seasonal factors (51, . . . , Sp). We obtain these estimates using the procedure for static forecasting described earlier in the chapter.
In Period t, given estimates of level, Lt, trend, Tt, and seasonal factors, St, . . . , St+p-1, the forecast for future periods is given by
![]()
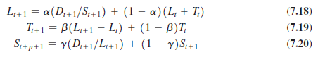
On observing demand for Period t + 1, we revise the estimates for level, trend, and seasonal factors as follows:

where a (0 < a < 1) is a smoothing constant for the level; b (0 < b < 1) is a smoothing constant for the trend; and g (0 < g < 1) is a smoothing constant for the seasonal factor. Observe that in each of the updates (level, trend, or seasonal factor), the revised estimate is a weighted average of the observed value and the old estimate. We illustrate the use of Winter’s model in Example 7-4 (see worksheet Example 7-4).
Example 7-4 Winter’s Model
Consider the Tahoe Salt demand data in Table 7-1. Forecast demand for Period 1 using trend- and seasonality-corrected exponential smoothing with a = 0.1, b = 0.2, g = 0.1.
Analysis
We obtain the initial estimates of level, trend, and seasonal factors exactly as in the static case. They are expressed as follows:
L0 = 18,439 T0 = 524 S1= 0.47 S2 = 0.68 S3 = 1.17 S4 = 1.67
The forecast for Period 1 (using Equation 7.17) is thus given by
F1 = (L0 + T0)S1 = (18,439 + 524) 0.47 = 8,913
The observed demand for Period 1 is D1 = 8,000. The forecast error for Period 1 is thus given by
E1 = F1 – D1 = 8,913 – 8,000 = 913
With a = 0.1, b = 0.2, g = 0.1, the revised estimate of level and trend for Period 1 and seasonal factor for Period 5, using Equations 7.18, 7.19, and 7.20, is given by
Lx = a(Dx/Si) + (1 – a) (L0 + T0)
= [0.1 X (8,000/0.47)] + [0.9 X (18,439 + 524)] = 18,769
T1 = b(L1 – L0) + (1 – b)T0 = [0.2 X (18,769 – 18,439)] + (0.8 X 524) = 485
S5 = g(D1/Li) + (1 – g)S1 = [0.1 X (8,000/18,769)] + (0.9 X 0.47) = 0.47
The forecast of demand for Period 2 (using Equation 7.17) is thus given by
F2 = (L1 + T1)S2 = (18,769 + 485) X 0.68 = 13,093
The forecasting methods we have discussed and the situations in which they are generally applicable are as follows:

If Tahoe Salt uses an adaptive forecasting method for the sell-through data obtained from its retailers, Winter’s model is the best choice, because its demand experiences both a trend and seasonality.
If we do not know that Tahoe Salt experiences both trend and seasonality, how can we find out? Forecast error helps identify instances in which the forecasting method being used is inappropriate. In the next section, we describe how a manager can estimate and use forecast error.
Source: Chopra Sunil, Meindl Peter (2014), Supply Chain Management: Strategy, Planning, and Operation, Pearson; 6th edition.

This website was… how do you say it? Relevant!!
Finally I’ve found something which helped me. Thanks a lot!
I feel that is one of the such a lot significant info for
me. And i am satisfied studying your article.
But wanna observation on some general issues, The web site taste is ideal, the articles
is in point of fact nice : D. Good activity, cheers
Hello to every one, the contents existing at this
site are genuinely amazing for people knowledge, well, keep up
the good work fellows.
For hottest news you have to pay a quick visit web and on the web I found this
web page as a most excellent web site for most up-to-date
updates.
I need to to thank you for this fantastic read!!
I absolutely enjoyed every bit of it. I’ve got you book-marked to
check out new stuff you post…
This website truly has all of the information and facts I wanted about this subject and didn’t know who to
ask.
Way cool! Some extremely valid points! I appreciate you writing this write-up and
the rest of the website is very good.
Hi there, I enjoy reading all of your post.
I wanted to write a little comment to support you.
Hi my family member! I wish to say that this post is amazing, nice written and include approximately all important infos. I’d like to peer more posts like this .