We now discuss the relationship between safety inventory and the CSL and fr. In this section, we restrict our attention to the continuous review policy. The periodic review policy is discussed in detail in Section 12.6. The continuous review policy consists of a lot size Q ordered when the inventory on hand declines to the ROP. Assume that weekly demand is normally distributed, with mean D and standard deviation sD. Assume replenishment lead time of L weeks.
1. Linking Safety Inventory and Cycle Service Level
We first show how cycle service levels can be evaluated given a replenishment policy (and thus the corresponding safety inventory). We then show how to determine the required safety inventory given a desired cycle service level.
EVALUATING SAFETY INVENTORY GIVEN A REPLENISHMENT POLICY In the case of B&M, safety inventory corresponds to the average number of phones on hand when a replenishment order arrives. Given the lead time of L weeks and a mean weekly demand of D, using Equation 12.2, we have
Expected demand during lead time = D X L
Given that the store manager places a replenishment order when ROP phones are on hand, we have
Safety inventory, ss = ROP – D X L (12.3)
This is because, on average, D X L phones will sell over the L weeks between when the order is placed and when the lot arrives. The average safety inventory when the replenishment lot arrives is thus ROP – D X L. The evaluation of safety inventory for a given inventory policy is described in Example 12-1 (see spreadsheet Chapter 12-examples worksheet Example 12-1).
EXAMPLE 12-1 Evaluating Safety Inventory Given an Inventory Policy
Assume that weekly demand for phones at B&M Office Supplies is normally distributed, with a mean of 2,500 and a standard deviation of 500. The manufacturer takes two weeks to fill an order placed by the B&M manager. The store manager currently orders 10,000 phones when the inventory on hand drops to 6,000. Evaluate the safety inventory and the average inventory carried by B&M. Also evaluate the average time a phone spends at B&M.
Analysis:
Under this replenishment policy, we have
Average demand per week, D = 2,500
Standard deviation of weekly demand, sD = 500
Average lead time for replenishment, L = 2 weeks
Reorder point, ROP = 6,000
Average lot size, Q = 10,000
Using Equation 12.3, we thus have
Safety inventory, ss = ROP – D X L = 6,000 – 5,000 = 1,000
B&M thus carries a safety inventory of 1,000 phones. From Chapter 11, recall that
Cycle inventory = Q / 2 = 10,000 /2 = 5,000
We thus have
Average inventory = cycle inventory + safety inventory = 5,000 + 1,000 = 6,000
B&M thus carries an average of 6,000 phones in inventory. Using Little’s law (Equation 3.1), we have
Average flow time = average inventory/throughput = 6,000 / 2,500 = 2.4 weeks
Each phone thus spends an average of 2.4 weeks at B&M.
Next, we discuss how to evaluate the CSL given a replenishment policy.
EVALUATING CYCLE SERVICE LEVEL GIVEN A REPLENISHMENT POLICY Given a replenishment policy, our goal is to evaluate the CSL, the probability of not stocking out in a replenishment cycle. We return to B&M’s continuous review replenishment policy of ordering Q units when the inventory on hand drops to the ROP. The lead time is L weeks and weekly demand is normally distributed, with a mean of D and a standard deviation of sD. Observe that a stockout occurs in a cycle if demand during the lead time is larger than the ROP. Thus, we have
CSL = Prob(demand during lead time of L weeks < ROP)
To evaluate this probability, we need to obtain the distribution of demand during the lead time. From Equation 12.2, we know that demand during lead time is normally distributed, with a mean of DL and a standard deviation of sL. Using the notation for the normal distribution from Appendix 12A and the equivalent Excel function from Equation 12.22 in Appendix 12B, the CSL is
CSL = F(ROP, DL, σL) = NORMDIST(ROP, DL, σL, 1) (12.4)
We now illustrate this evaluation in Example 12-2 (see worksheet Example 12-2).
EXAMPLE 12-2 Evaluating Cycle Service Level Given a Replenishment Policy
Weekly demand for phones at B&M is normally distributed, with a mean of 2,500 and a standard deviation of 500. The replenishment lead time is two weeks. Assume that the demand is independent from one week to the next. Evaluate the CSL resulting from a policy of ordering 10,000 phones when there are 6,000 phones in inventory.
Analysis:
In this case, we have
Q = 10,000, ROP = 6,000, L = 2 weeks
D = 2,500 / week, sD = 500
Observe that B&M runs the risk of stocking out during the lead time of two weeks between when an order is placed and when the replenishment arrives. Thus, whether or not a stockout occurs depends on the demand during the lead time of two weeks.
Because demand across time is independent, we use Equation 12.2 to obtain demand during the lead time to be normally distributed with a mean of DL and a standard deviation of sL, where
![]()
Using Equation 12.4, the CSL is evaluated as
![]()
A CSL of 0.92 implies that in 92 percent of the replenishment cycles, B&M supplies all demand from available inventory. In the remaining 8 percent of the cycles, stockouts occur and some demand is not satisfied because of the lack of inventory.
We now discuss how the appropriate level of safety inventory may be obtained given a desired CSL.
2. Evaluating Safety Inventory Given Desired Cycle Service Level
In many practical settings, firms have a desired level of product availability and want to design replenishment polices that achieve this level. For example, Walmart has a desired level of product availability for each product sold in a store. The store manager must design a replenishment policy with the appropriate level of safety inventory to meet this goal. The desired level of product availability may be determined by trading off the cost of holding inventory with the cost of a stockout. This trade-off is discussed in detail in Chapter 13. In other instances, the desired level of product availability (in terms of CSL or fill rate) is stated explicitly in contracts, and management must design replenishment policies that achieve the desired target.
Evaluating required safety inventory given desired cycle service level Our goal is to obtain the appropriate level of safety inventory given the desired CSL. We assume that a continuous review replenishment policy is followed. Consider the store manager at Walmart responsible for designing replenishment policies for all products in the store. He has targeted a CSL for the basic box of Lego building blocks. Given a lead time of L, the store manager wants to identify a suitable reorder point ROP and safety inventory that achieves the desired service level. Assume that demand for Legos at Walmart is normally distributed and independent from one week to the next. We assume the following inputs:
Desired cycle service level = CSL
Mean demand during lead time = DL
Standard deviation of demand during lead time = σL
From Equation 12.3, recall that ROP = DL + ss. The store manager needs to identify safety inventory ss such that the following is true:
Probability (demand during lead time ≤ DL + ss) = CSL
Given that demand is normally distributed, the store manager must identify safety inventory ss such that the following is true (using Equation 12.4):
F(Dl + ss, Dl, σl) = CSL
Given the definition of the inverse normal in Appendix 12A and the equivalent Excel function from Appendix 12B, we obtain

Using the definition of the standard normal distribution and its inverse from Appendix 12A, and the equivalent Excel function from Appendix 12B, it can also be shown that the following is true:
![]()
In Example 12-3 (see worksheet Example 12-3), we illustrate the evaluation of safety inventory given a desired CSL.
EXAMPLE 12-3 Evaluating Safety Inventory Given a Desired Cycle Service Level
Weekly demand for Legos at a Walmart store is normally distributed, with a mean of 2,500 boxes and a standard deviation of 500. The replenishment lead time is two weeks. Assuming a continuous-review replenishment policy, evaluate the safety inventory that the store should carry to achieve a CSL of 90 percent.
Analysis:
In this case we have
D = 2,500 / week, sD = 500, CSL = 0.9, L = 2 weeks
Because demand across time is independent, we use Equation 12.2 to find demand during the lead time to be normally distributed with a mean of DL and a standard deviation of sL, where
Dl = D X L = 2 X 2,500 = 5,000; sL = 1LsD = 12 X 500 = 707
Using Equation 12.5, we obtain
![]()
Thus, the required safety inventory to achieve a CSL of 90 percent is 906 boxes.
3. Linking Safety Inventory and Fill Rate
We now show how fill rates can be evaluated given a replenishment policy (and thus the corresponding safety inventory). We then show how to determine the required safety inventory given a desired fill rate.
EVALUATING FILL RATE GIVEN A REPLENISHMENT POLICY Recall that fill rate measures the proportion of customer demand that is satisfied from available inventory. Fill rate is generally a more relevant measure than cycle service level because it allows the retailer to estimate the fraction of demand that is turned into sales. The two measures are closely related, as raising the cycle service level also raises the fill rate for a firm. Our discussion focuses on evaluating fill rate for a continuous review policy under which Q units are ordered when the quantity on hand drops to the ROP.
To evaluate the fill rate, it is important to understand the process by which a stockout occurs during a replenishment cycle. A stockout occurs if the demand during the lead time exceeds the ROP. We thus need to evaluate the average amount of demand in excess of the ROP in each replenishment cycle.
The expected shortage per replenishment cycle (ESC) is the average units of demand that are not satisfied from inventory in stock per replenishment cycle. Given a lot size of Q (which is also the average demand in a replenishment cycle), the fraction of demand lost is thus ESC / Q.
The product fill rate fr is thus given by
![]()
A shortage occurs in a replenishment cycle only if the demand during the lead time exceeds the ROP. Let fx) be the density function of the demand distribution during the lead time. The ESC is given by

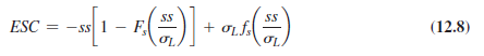
When demand during the lead time is normally distributed with mean DL and standard deviation sL, given a safety inventory ss, Equation 12.7 can be simplified to

where Fs is the standard normal cumulative distribution function and fs is the standard normal density function. The standard normal distribution has a mean of 0 and a standard deviation of 1. A detailed description of the normal distribution is given in Appendix 12A. Details of the simplification in Equation 12.8 are described in Appendix 12C. Using Excel functions

(Equations 12.25 and 12.26) discussed in Appendix 12B, ESC may be evaluated (using Equation 12.8) as

Given the ESC, we can use Equation 12.6 to evaluate the fill rate fr. Next, we illustrate this evaluation in Example 12-4 (see worksheet Example 12-4 and Figure 12-2).
EXAMPLE 12-4 Evaluating Fill Rate Given a Replenishment Policy
From Example 12-2, recall that weekly demand for phones at B&M is normally distributed, with a mean of 2,500 and a standard deviation of 500. The replenishment lead time is two weeks. Assume that the demand is independent from one week to the next. Evaluate the fill rate resulting from the policy of ordering 10,000 phones when there are 6,000 phones in inventory.
Analysis:
From the analysis of Example 12-2, we have
Lot size, Q = 10,000
Average demand during lead time, DL = 5,000
Standard deviation of demand during lead time, sL = 707
Using Equation 12.3, we obtain
Safety inventory, ss = ROP – DL = 6,000 – 5,000 = 1,000
From Equation 12.9, we thus have
ESC = -1,000 [1 – NORMDIST{ 1,000/ 707, 0, 1, 1)]
+ 707 NORMDIST{ 1,000/707, 0, 1, 0) = 25
Thus, on average, in each replenishment cycle, 25 phones are demanded by customers but not available in inventory. Using Equation 12.6, we thus obtain the following fill rate:
fr = (Q – ESC)/Q = (10,000 – 25)/10,000 = 0.9975
In other words, 99.75 percent of the demand is filled from inventory in stock. This is much higher than the CSL of 92 percent that resulted in Example 12-2 for the same replenishment policy.
A few key observations should be made. First, observe that the fill rate (0.9975) in Example 12-4 is significantly higher than the CSL (0.92) in Example 12-2 for the same replenishment policy. Next, by rerunning the examples with a different lot size (in worksheet Example 12-4), we can observe the impact of lot-size changes on the service level. Increasing the lot size of phones from 10,000 to 20,000 has no impact on the CSL (which stays at 0.92). The fill rate, however, now increases to 0.9987. This happens because an increase in lot size results in fewer replenishment cycles. In the case of B&M, an increase in lot size from 10,000 to 20,000 results in replenishment occurring once every eight weeks instead of once every four weeks. With a 92 percent CSL, a lot size of 10,000 results in, on average, one cycle with a stockout per year. With a lot size of 20,000, we have, on average, one stockout every two years. Thus, the fill rate is higher.
EVALUATING REQUIRED SAFETY INVENTORY GIVEN DESIRED FILL RATE For a continuous review replenishment policy, we now evaluate the required safety inventory given a desired fill rate fr. Consider the store manager at Walmart targeting a fill rate fr for Lego building blocks. The current replenishment lot size is Q. The first step is to obtain the ESC using Equation 12.6.
The next step is to obtain a safety inventory ss that solves Equation 12.8 (and its Excel equivalent, Equation 12.9) given the ESC evaluated earlier. It is not possible to give a formula that provides the answer. The appropriate safety inventory that solves Equation 12.9 can be obtained easily using Excel and trying different values of ss. In Excel, the safety inventory may also be obtained directly using the tool GOALSEEK, as illustrated in Example 12-5 (use worksheet Example 12-5).
EXAMPLE 12-5 Evaluating Safety Inventory Given Desired Fill Rate
Weekly demand for Legos at a Walmart store is normally distributed, with a mean of 2,500 boxes and a standard deviation of 500. The replenishment lead time is two weeks. The store manager currently orders replenishment lots of 10,000 boxes from Lego. Assuming a continuous-review replenishment policy, evaluate the safety inventory the store should carry to achieve a fill rate of 97.5 percent.
Analysis:
In this case, we have
Desired fill rate, fr = 0.975
Lot size, Q = 10,000 boxes
Standard deviation of demand during lead time, sL = √2 X 500 = 707

From Equation 12.6, we thus obtain an ESC as
ESC = (1 – fr) Q = (1 – 0.975)10,000 = 250
Now we need to solve Equation 12.8 for the safety inventory ss, where

Using Equation 12.9, this equation may be restated with Excel functions as follows:
250 = -ss[1 – NORMDIST(ss/707,0,1,1)] + 707NORMDIST(ss/707,0,1,0) (12.10)
Equation 12.10 may be solved in Excel by trying different values of ss until the equation is satisfied. A more elegant approach for solving Equation 12.10 is to use the Excel tool GOALSEEK, as follows.
In the worksheet Example 12-5, invoke GOALSEEK using Data I What-If Analysis | Goal Seek. In the GOALSEEK dialog box, enter the data as shown in Figure 12-3 and click the OK button. In this case, cell D3 is changed until the value of the formula in cell A6 equals 250.
Using GOALSEEK, we obtain a safety inventory of ss = 67 boxes, as shown in Figure 12-3. Thus, the store manager at Walmart should target a safety inventory of 67 boxes to achieve the desired fill rate of 97.5 percent.
4. Impact of Desired Product Availability and Uncertainty on Safety Inventory
The two key factors that affect the required level of safety inventory are the desired level of product availability and uncertainty. We now discuss the impact that each factor has on the safety inventory.
As the desired product availability goes up, the required safety inventory also increases because the supply chain must now be able to accommodate uncommonly high demand or uncommonly low supply. For the Walmart situation in Example 12-5, we evaluate the required safety inventory for varying levels of fill rate as shown in Table 12-1.
Observe that raising the fill rate from 97.5 percent to 98.0 percent requires an additional 116 units of safety inventory, whereas raising the fill rate from 99.0 percent to 99.5 percent requires an additional 268 units of safety inventory. Thus, the marginal increase in safety inventory grows as product availability rises. This phenomenon highlights the importance of selecting suitable product availability levels. It is important for a supply chain manager to be aware of the products that require a high level of availability and hold high safety inventories only for those products. It is not appropriate to select a high level of product availability and require it arbitrarily for all products.

From Equation 12.5, we see that the required safety inventory ss is also influenced by the standard deviation of demand during the lead time, sL. The standard deviation of demand during the lead time is influenced by the duration of the lead time L and the standard deviation of periodic demand sD, as shown in Equation 12.2. The relationship between safety inventory and sD is linear, in that a 10 percent increase in sD results in a 10 percent increase in safety inventory. Safety inventory also increases with an increase in lead time L. The safety inventory, however, is proportional to the square root of the lead time (if demand is independent over time) and thus grows more slowly than the lead time itself.
A goal of any supply chain manager is to reduce the level of safety inventory required in a way that does not adversely affect product availability. The previous discussion highlights two key managerial levers that may be used to achieve this goal:
- Reduce the supplier lead time L: If lead time decreases by a factor of k, the required safety inventory decreases by a factor of 1k. The only caveat here is that reducing the supplier lead time requires significant effort from the supplier, whereas reduction in safety inventory occurs at the retailer. Thus, it is important for the retailer to share some of the resulting benefits, as discussed in Chapter 10. Walmart, Seven-Eleven Japan, and many other retailers apply tremendous pressure on their suppliers to reduce the replenishment lead time. Apparel retailer Zara has built its entire strategy around using local flexible production to reduce replenishment lead times. In each case, the benefit has manifested itself in the form of reduced safety inventory while maintaining the desired level of product availability.
- Reduce the underlying uncertainty of demand (represented by σD): If uncertainty represented by σD is reduced by a factor of k, the required safety inventory also decreases by a factor of k. A reduction in uncertainty may be achieved by better market intelligence, increased supply chain visibility, and the use of more sophisticated forecasting methods. Seven-Eleven Japan provides its store managers with detailed data about prior demand along with weather and other factors that may influence demand. This market intelligence allows the store managers to make better forecasts, reducing uncertainty. In most supply chains, however, the key to reducing the underlying forecast uncertainty is to link all forecasts throughout the supply chain to customer demand data. A lot of the demand uncertainty exists only because each stage of the supply chain plans and forecasts independently. This distorts demand throughout the supply chain, increasing uncertainty. Improved visibility and coordination, as discussed in Chapter 10, can often reduce the demand uncertainty significantly. Zara plans its production and replenishment based on actual sales at its retail stores to ensure that no unnecessary uncertainties are introduced. Both Walmart and Seven-Eleven Japan share demand information with their suppliers, reducing uncertainty and thus safety inventory within the supply chain.
We illustrate the benefits of reducing lead time and demand uncertainty in Example 12-6 (see worksheet Example 12-6).
EXAMPLE 12-6 Benefits of Reducing Lead Time and Demand Uncertainty
Weekly demand for white shirts at a Target store is normally distributed, with a mean of 2,500 and a standard deviation of 800. The replenishment lead time from the current supplier is nine weeks. The store manager aims for a cycle service level of 95 percent. What savings in safety inventory can the store expect if the supplier reduces lead time to one week? What savings in safety inventory can the store expect if reduced demand uncertainty results in a standard deviation of demand of 400?
Analysis:
For the base case, we have
D = 2,500/ week, sD = 800, CSL = 0.95
From Equation 12.5, we thus obtain the base case safety inventory to be
ss = NORMSINV(CSL) X 1LsD = NORMSINV(.95) X 19 X 800 = 3,948
If the suppler reduces the lead time L to one week, the required safety inventory is given by
ss = NORMSINV{ CSL) X 1LσD = NORMSINV{ .95) X 1 X 800 = 1,316
Thus, reducing the lead time from nine weeks to one week reduces the required safety inventory by 2,632 shirts.
We now consider the benefits of reducing forecast error. If Target reduces the standard deviation from 800 to 400 (for the nine-week lead time), the required safety inventory is obtained as follows:
ss = NORMSINV{ CSL) X 1LσD = NORMSINV{ .95) X 19 X 400 = 1,974
Thus, reducing the standard deviation (equal to forecast error) of demand from 800 to 400 reduces the required safety inventory by 1,974 shirts.
Source: Chopra Sunil, Meindl Peter (2014), Supply Chain Management: Strategy, Planning, and Operation, Pearson; 6th edition.

15 Jun 2021
15 Jun 2021
15 Jun 2021
15 Jun 2021
15 Jun 2021
15 Jun 2021