Serial mediation, also called chain mediation, is where the influence of the independent vari- able flows through multiple mediators before impacting the dependent variable. Serial media- tion often takes place where the first mediator will have a direct relationship with a second mediator before ultimately having a relationship to the final dependent variable.With this type of mediation, you have to account for the indirect effect across multiple constructs.
To test this type of mediation, we are going to use the estimands function again. Let’s use our mediation example again, but this time let’s include another variable called “Loyalty”, which is the degree to which a customer is faithful to a retailer/service provider. With the revised model, Adaptive Behavior will have a relationship to Customer Delight, which impacts Positive Word of Mouth, and now Positive Word of Mouth influences Loyalty.

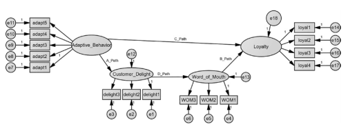
In this revised model, the influence or effect of Adaptive Behavior is proposed to flow through Customer Delight and Positive Word of Mouth to Loyalty. Put another way, the indi- rect effect of Adaptive Behavior to Loyalty flows through both constructs of Customer Delight and Positive Word of Mouth. Our first step is to draw out our revised model in AMOS. Next, we need to label the arrows (parameters) between each construct.To be consistent, let’s label the path from the independent variable to the first mediator (Adaptive Behavior to Customer Delight) as the “A_Path”. The path to the ultimate dependent variable from the mediator (Positive Word of Mouth to Loyalty) we will label the “B_Path”. The path between the two mediators (Customer Delight to Positive Word of Mouth) we will call the “D_path”. I don’t want to call that relationship “C_path”; let’s save that label for the direct effect from Adaptive Behavior to Loyalty. I also want to avoid labeling a parameter starting with the letter “E”.That letter is saved for error terms. Again, the labels are arbitrary; just make sure you give it a label that is unique and one that helps you recognize a specific path in the output. See Figure 6.23.

Figure 6.23 Serial Mediation Model in AMOS
Now that we have uniquely labeled the parameters, we need to use the estimand function by defining a new function.To calculate the indirect effect in serial mediation, you need to multiply the intermediating relationships together. Specifically, you will multiply the regression coefficient for each intervening relationship. In our example, we are going to multiply the “A_Path” times the “D_Path” times the “B_Path”.This will give us the serial indirect effect. In the estimands func- tion, let’s call our indirect test “SerialMediation”. In the syntax, we will specify the formula for the indirect relationship. After doing this, we make sure to check for syntax errors, and then we can save and exit the pop-up window.The analysis is now ready to be run. Going to the output, we return to the Estimates link and then the Scalars option. Select the User-Defined estimands. We can then go to the Bias-corrected percentile method to see the full indirect effect details.

Figure 6.24 Estimand Function Calculating Serial Mediation
The results of the indirect effect through both intervening variables to Loyalty was .055, and it is significant at the p = .002 level.We initially can determine that the serial mediation is significant, but we need to examine the direct effects to determine the type of mediation that is present (see Figure 6.26). The direct effect (C_Path) is significant with a p value < .001. These results show that both the indirect effect and the direct effect are significant.This means partial mediation is present with this serial mediation test.

Figure 6.25 Serial Mediation Results Along with Confidence Interval

Figure 6.26 Examining the Direct Effect in Serial Mediation Test
This test had only two mediators, but you could have more than two mediators in a serial mediation test. If you have three mediators, the process would be exactly the same.You would label all the parameters and then get the product of all the relationships from the independent to dependent variable through the mediators. Using the estimands function will make this a relatively easy process.
Since the indirect effect from Adaptive Behavior to Loyalty could go only through the two specified intervening constructs, we should be able to get the same results from the “indirect effects” output that AMOS initially gives us. In the output, let’s go to the Estimates tab, “Matri- ces” option, and then down to the Indirect Effects.You will see that AMOS gives us all possible indirect effects. The indirect effect of Adaptive Behavior to Loyalty is .055, the same as the estimands function we ran earlier.

Figure 6.27 Results From the Dedicated Indirect Effect Test in AMOS
If we go to the Bias-corrected percentile method from these indirect effects where the bootstrap analysis is presented, you get the same confidence interval and p-value as the one listed in the estimands output. See Figure 6.28 to view the full output of this bootstrap analysis.
Remember, these results are similar only because the indirect effect is going through the only two intervening variables in the model. In this example, the indirect effect from Adap- tive Behavior to Loyalty has no other possible indirect effect but through the two mediators. If other mediators were included, or if you had two competing serial mediations, you would definitely need to use the estimands function.

Figure 6.28 Confidence Intervals From Dedicated Indirect Effect Test in AMOS
Source: Thakkar, J.J. (2020). “Procedural Steps in Structural Equation Modelling”. In: Structural Equation Modelling. Studies in Systems, Decision and Control, vol 285. Springer, Singapore.

29 Mar 2023
29 Mar 2023
27 Mar 2023
30 Mar 2023
29 Mar 2023
29 Mar 2023