In 1980, Breusch and Pagan developed a Lagrange multiplier test for random effects, so this test is also called Breusch-Pagan Lagrange Multiplier test. The test helps us choose between random-effects model regression and pooled OLS regression. In the following video, we will show you how to perform this test step by step on our panel data, from which we presented the results in our article, published on Sustainability review in 2019 (download dataset here).
The null hypothesis of the Lagrange Multiplier Test assumes that, the random effects are not significant, and they can be excluded from the model without a substantial loss of information. Conversely, the alternative hypothesis suggests that, the random effects are indeed essential and contribute significantly to the overall model fit.
- H0: The random effects are insignificant
- H1: The random effects are significant
The LM statistic follows a chi-square distribution with 1 degree of freedom, because we are testing for one measure only – the variance of random effects term. If we reject the null hypothesis using this test, we conclude that the random effects are significant in the model, and the use of the Random Effects Model is appropriate.
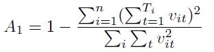
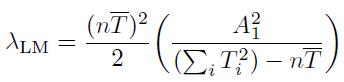
In Stata, the Lagrange Multiplier test is implemented by using the command xttest0 that reports the Lagrange multiplier test for random effects developed by Breusch and Pagan (1980) and as modified by Baltagi and Li (1990). The model yit = xitβ + vi is fit via OLS, and then the quantity
is calculated, where
.
The Baltagi and Li modification allows for unbalanced data and reduces to the standard formula:

when Ti = T (balanced data). Under the null hypothesis, λLM is distributed as a 50:50 mixture of a point mass at zero and χ2(1).
The results of the model show variance of the error terms, chi-square value and p-value and the results show the following:

- H0: Select Pooled OLS (p> 0.05)
- H1: Select RE (p <0.05)
We can see that the result of this test is significant, as it indicates that the Random Effects Model is appropriate, thereby rejecting the Pooled OLS model.
Good luck with your regression!
References
Alejo, J., A. Galvao, G. Montes-Rojas, and W. Sosa-Escudero. 2015. Tests for normality in linear panel-data models. Stata Journal 15: 822–832.
Baltagi, B. H., and Q. Li. 1990. A Lagrange multiplier test for the error components model with incomplete panels. Econometric Reviews 9: 103–107. https://doi.org/10.1080/07474939008800180.
Breusch, T. S., and A. R. Pagan. 1980. The Lagrange multiplier test and its applications to model specification in econometrics. Review of Economic Studies 47: 239–253. https://doi.org/10.2307/2297111.
Sosa-Escudero, W., and A. K. Bera. 2008. Tests for unbalanced error-components models under local misspecification. Stata Journal 8: 68–78.
Verbeke, G., and G. Molenberghs. 2003. The use of score tests for inference on variance components. Biometrics 59: 254–262. https://doi.org/10.1111/1541-0420.00032.

23 Sep 2022
24 Sep 2022
28 Sep 2022
28 Sep 2022
28 Sep 2022
30 Sep 2022