In spite of the care and effort expended to create an accurate and fair budget, it is still only an estimate made under conditions of uncertainty. Because projects are unique, risk pervades all elements of the project, and particularly the project’s goals of performance, schedule, and budget. We will discuss these issues of uncertainty and risk here, and offer some suggestions for dealing with them. PMBOK covers the topic of risk in Chapter 11 on Risk.
1. Budget Uncertainty
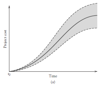
Perceptually, the PM sees the uncertainty of the budget like the shaded portion of Figure 4-3, where the actual project costs may be either higher or lower than the estimates the PM has derived. As we will describe later, however, it seems that more things can go wrong in a project and drive up the cost than can go right to keep down the cost. As the project unfolds, the cost uncertainty decreases as the project moves toward completion. Figures 4-4 (a), (b), and (c) illustrate this. An estimate at the beginning of the project as in Figure 4-3 is shown as the t0 estimate in Figure 4-4(a). As work on the project progresses, the uncertainty decreases as the project moves toward completion. At time t1 the cost to date is known and another estimate is made of the cost to complete the project, Figure 4-4(b). This is repeated at t2, Figure 4-4(c). Each estimate, of course, begins at the actual cost to date and estimates only the remaining cost to completion. The further the project progresses, the less the uncertainty in the final project cost. It is common in project management to make new forecasts about project completion time and cost at fixed points in the project life cycle, or at special milestones.

The reasons for cost uncertainty in the project are many: prices may escalate, different resources may be required, the project may take a different amount of time than we expected, thereby impacting overhead and indirect costs, and on and on. Earlier, we discussed ways to improve cost estimates, to anticipate such uncertainty, but change is a fact of life, including life on the project, and change invariably alters our previous budget estimates.
Three Causes for Change There are three basic causes for change in projects and their budgets and/or schedules. Some changes are due to errors the cost estimator made about how to achieve the tasks identified in the project plan. Such changes are due to technological uncertainty: a building’s foundation must be reinforced due to a fault in the ground that wasn’t identified beforehand; a new innovation allows a project task to be completed easier than was anticipated, and so on.
Other changes result because the project team or client learns more about the nature of the scope of the project or the setting in which it is to be used. This derives from an increase in the team’s or client’s knowledge or sophistication about the project deliverables. The medical team plans to use a device in the field as well as in the hospital. The chemists find another application of the granulated bed process if it is altered to include additional minerals.
The third source of change is the mandate: A new law is passed, a trade association sets a new standard, a governmental regulatory agency adopts a new policy. These changes alter the previous “rules of conduct” under which the project had been operating, usually to the detriment of the budget.
Handling Changes There are different ways to handle such changes. The least preferred way is simply to accept a negative change and take a loss on the project. The best approach is to prepare for change ahead of time by including provisions in the original contract for such changes. The easiest change to handle is when the change is the result of an increased specification by the client, yet even these kinds of changes are often mishandled by the project organization. The best practice is to include in the contract a formal change control procedure that allows for renegotiation of price and schedule for client-ordered changes in performance.
More difficult changes are those resulting from misunderstood assumptions, technological uncertainty, and mandates. Assumptions and some technological uncertainties are most easily handled by carefully listing all the assumptions, including those regarding technology, in the contract and stating that if these assumptions fail to hold, the project’s cost and schedule may have to be adjusted.

Mandates are the most difficult to accommodate because they can affect anything about the project and usually come without warning. The shorter the project duration, however, the less likely an unexpected mandate will impact the project. Thus, when contracting for a project of extended duration, it is best to divide it into shorter segments and contract for only one segment at a time. Of course, this also gives clients the opportunity to reconsider whether they want to complete the full project, as well as giving the competition an opportunity to steal the remainder of the project from you. Nevertheless, if a client wants to cancel a contract and is locked into a long-term agreement, the project will not have a happy ending anyway. At least with shorter segments the client may be willing to finish a segment before dropping the project. In any event, if the client is pleased with your performance on one segment of the contract, it is unlikely that a competitor will have the experience and cost efficiencies that you have gained and will be able to steal the next segment. At the least, the client would be obligated to give you an opportunity to match their bid.
As changes impact the project’s costs, the budget for the remainder of the project will certainly have to be revised. There are three ways to revise a budget during the course of a project, each depending on the nature of the changes that have been experienced. If the changes are confined to early elements of the project and are not seen to impact the rest of the project, then the new budget can be estimated as the old budget plus the changes from the early elements.
More frequently, something systemic has changed that will impact the costs of the rest of the project tasks as well, such as a higher rate of inflation. In this case, the new budget estimate will be the accumulated costs to date plus the previous estimates of the rest of the budget multiplied by some correction factor for the systemic change. Recall that the BLS is an excellent source for such historical data that will aid the PM in estimating an appropriate correction factor.
Last, there may be some individual changes now perceived to impact specific elements of the remaining project tasks. The new budget estimate will then be the actual costs to date plus the expected costs for the remaining project tasks. Generally, both systematic and individual changes in the project will be revised in all three ways at once.
2. Project Budgeting in Practice
According to the Oxford Review of Economic Policy, a study of 258 projects in 20 countries showed that nine out of ten projects experience cost overruns, and sometimes by over 100 percent! You might wonder how this can possibly happen, but it turns out that it happens quite easily, primarily due to the dynamics of people and groups making decisions in an organization over some period of time. Let’s go through what happens in a typical project to see how this occurs.
To determine a project budget, the project manager (PM) starts with the project plan or WBS to determine the various steps required in the project, the resource needs, labor hours, and associated costs. This cost estimate, plus a “contingency” of up to 25 percent added to either the labor hours or total cost, is then used as the project budget for both obtaining approval for the project and as a placeholder in the department’s budget so the funds will be encumbered and unavailable for other purposes. (The addition of a contingency is standard practice and expected.)
However, top management is also responsible for constructing a budget for the company and may have also calculated some cost for this project, or the department that will be funding it. In the process, they will be using their own methods, such as the budget or cost of a previous but similar project, the amount of money the department was budgeted for last year, the amount of monies available for them to spend, the amount the project manager or department spent last year, gut-feel, and other such approaches. When this is aggregated by department, the totals are compared to what each department spent the previous year, what the company’s departmental priorities are for this year, how the total budget compares with the total money available, and then the department is given an appropriate lump sum budget for the year. The department then allocates their departmental budget according to their priorities, and increments or decrements the project budgets by an amount to meet the department’s budget. Thereupon the project’s plan is adjusted, if possible, by the assigned budget rather than vice-versa, but typically the scope cannot be reduced so the PM tries to adjust the plan to suit.
But the dynamics are still not over. At some point(s) in the future, the department’s budget may well be cut further, so all the projects’ placeholder budgets are decremented even more, requiring additional “adjustments” to the project plan (but again without allowing a reduction in scope). According to one expert in project management (Swanson, 2011), due to natural optimism at project start most PMs underestimate their projects’ costs by 30 percent or more. Given that their expense contingency was less than 25 percent even before these factors impacted the budget, it is no wonder that the great majority of projects have cost overruns.
At this point, we will deal with one of the more quantitative methods of dealing with risk as it applies to the task of simulating budgets and cash flows. The essence of risk analysis is to make estimates or assumptions about the probability distributions associated with key parameters and variables and to use analytic decision models or Monte Carlo simulation models based on these distributions to evaluate the desirability of certain managerial decisions. Real-world problems are usually large enough that the use of analytic models is very difficult and time consuming. With modern computer software, simulation is not difficult. PMBOK describes the simulation process in Chapter 11 on Risk.
A mathematical model of the situation is constructed, and a simulation is run to determine the outcomes of key performance measures under various scenarios. The model is run (or replicated) repeatedly, starting from a different point each time based on random choices of values from the probability distributions of the input variables. Outputs of the model are used to construct statistical distributions of items of interest to decision makers, such as costs, profits, completion dates, or return on investment. These distributions are the risk profiles of the outcomes associated with a decision. Risk profiles can be considered by the manager when considering a decision, along with many other factors such as strategic concerns, behavioral issues, fit with the organization, cost and scheduling issues, and so on.
In the following section, using an example we have examined earlier in Chapter 1, we illustrate how Oracle Crystal Ball® 11.1.2.2 (CB), a widely used Excel® Add-In that is available with this book, can be used to improve the PM’s understanding of the risks associated with managing projects.
Reconsider the Ceramic Sciences example we solved in Chapter 1 in the section devoted to finding the discounted cash flows associated with a project. Setting this problem up in Excel® is straightforward, and the earlier analytic solution is shown here for convenience as Table 4-5. We found that the project cleared the barrier of a 13 percent hurdle rate for acceptance. The net cash flow over the project’s life is just under $400,000, and discounted at the hurdle rate plus 2 percent annual inflation, the net present value of the cash flow is about $18,000.
Source: Meredith Jack R., Mantel Jr. Samuel J., Shafer Scott M., Sutton Margaret M. (2017), Project Management in Practice, John Wiley & Sons, Inc. 3th Edition.

9 Jun 2021
8 Jun 2021
8 Jun 2021
8 Jun 2021
8 Jun 2021
8 Jun 2021