MM left us a simple message. When the firm changes its mix of debt and equity securities, the risk and expected returns of these securities change, but the company’s overall cost of capital does not change.
Now if you think that message is too neat and simple, you’re right. The complications are spelled out in the next two chapters. But we must note one complication here: In the United States and many other countries, interest paid on a firm’s borrowing can be deducted from taxable income. Thus, the after-tax cost of debt is rD(1 – Tc), where Tc is the marginal corporate tax rate. So, when companies discount an average-risk project, they do not use the company cost of capital as we have just computed it. Instead they use the after-tax cost of debt to compute the after-tax weighted-average cost of capital or WACC:
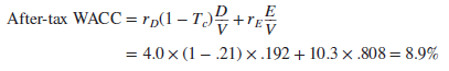
![]()
We briefly introduced this formula in Chapter 9, where we used it to estimate the weighted- average cost of capital for CSX. In 2017, CSX’s long-term borrowing rate was rD = 4.0%, and its estimated cost of equity was rE = 10.3%. With a 21% corporate tax rate, the after-tax cost of debt was rD(1 – Tc) = 4.0(1 – .21) = 3.2%. The ratio of debt to overall company value was D/V = .192. Therefore,

MM’s proposition 2 states that in the absence of taxes, the company cost of capital stays the same regardless of the amount of leverage. But if companies receive a tax shield on their interest payments, then the after-tax WACC declines as debt increases. This is illustrated in Figure 17.4, which shows how CSX’s WACC changes as the debt-equity ratio changes.

Most large public corporations use an after-tax WACC to discount cash flows from proposed investments. By doing so they are following MM’s proposition 1, except for using an after-tax cost of debt.

I?¦ve recently started a site, the information you provide on this site has helped me greatly. Thanks for all of your time & work.