A forecast is an estimate of the future level of some variable. The variable is most often demand, but can also be supply or price. Forecasting is often the very fi rst step organizations must go through when determining long-term capacity needs, yearly business plans, short-term operations and supply chain activities. It would be worthwhile to consider the following points before developing a forecasting model:
- Availability of quantitative historical data
- Evidence of a relationship between the variables
- Evidence of some variable seen as a function of time
- Evidence of some variable seen as a function of variables other than time
1. Correlation Analysis
Forecasting is used in business planning to organize and then commit resources to achieve business goals. As the environmental forces change continuously, the parameters affecting the position of an organization in the market need to be forecast for various planning processes. Following are a few mathematical models used for forecasting.
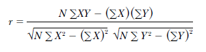
Correction analysis is used to measure the strength of the association between quantitative variables. For example, we could measure the degree of relationship between the distance of shipments and the corresponding charge, the examination result and the number of hours devoted in revision and so forth. The strength of a relationship between two sets of data (sample) is usually measured by the correlation coefficient, r,

where N is the sample size and — 1 # r # 1.
A relation is said to be a perfect positive correlation when r = 1 and a perfect negative correlation when r = — 1. The correlation analysis is one way of measuring the variance of a simple linear regression model. The scatter plots and the least-squares lines in Figure 21.1 illustrate three different types of association between variables.

The data about promotional expenses and sales are required to be checked for correlation (see Table 21.1).
The graphical representation of the data in Table 21.1 shows evidence of correlation between the above two variables (see Figure 21.2).

The correlation coefficient using the above formula works out to 0.96, which means that the two variables are highly correlated.
2. Time Series Forecasting Models
The dependent variable has a relationship with time period. The various models used are:
- Last period model
- Moving average model
- Weighted moving average model
- Exponential smoothing model
- Simple linear regression model (least-squares method)
The most commonly used model is the linear regression model, which is suitable for time series data that contain a trend. Linear regression is a statistical technique that expresses the forecast variable as a linear function of some independent variable. In time series modelling, the independent variable is the time period. The model (least-squares regression equation) is
![]()
where
y = forecast for dependent variable, y
x = independent variable, x, used to forecast y
ay = estimated intercept term for the straight line
yb = estimated slop coefficient for the straight line
![]()
(x, y) = observed values for time period i
y = average y value
x = average x value
n = number of observations
Once the equation of the straight line is obtained, the forecast value y can be calculated by putting in values of x.
Source: Sople V.V (2013), Logistics Management, Pearson Education India; Third edition.

Keep functioning ,remarkable job!
Enjoyed studying this, very good stuff, thankyou.