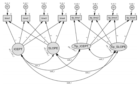
There are situations where you want to test two domains together in a latent growth curve model. If we believe that the growth or change of one variable is also correlated with the change or growth of another variable, we may want to test a latent growth curve model with two domains. In essence, you will learn more by understanding the collective impact rather than testing them individually. To do this, you need to have two sets of intercepts and slopes in the model. For instance, let’s say we also want to see how much a customer tips when the packaging is environmentally sustainable on their snacks. We would initially draw a growth model for the spending patterns of snacks from our original example, and then we would have to draw another intercept and slope along with observables. In the second domain, we have tracked tipping amounts across the four-week time period. With two domains included in one model, we need to make sure that all parameters and variables are uniquely named. For the tipping domain, I am simply adding “Tip” to the front of all the names. I have also covaried all the intercepts and slopes across the domains. If we think that both domains are connected, the intercepts and slopes need to include a covariance. After setting up your model with both domains, you can then view the output and examine the estimated means of the intercept and slope as noted in the previous examples. In the output, we would examine if the intercept and slope changed over the four time periods while considering the second domain.To see an example of how to set up a latent growth curve with two domains, see Figure 9.20.

Figure 9.20 Example of a Latent Growth Curve Model With Two Domains

Figure 9.21 Estimates Output for Sustainable Packaging Group Examining the Domains of Spending and Tipping

Figure 9.22 Estimates Output for the No Sustainable Packaging Group Examining the Domains of Spending and Tipping
If we wanted to see if the “growth” was significantly different across the groups, we could initially set up a model comparison test where we are going to constrain the intercept and slope for both domains to be equal across the groups and compare it to an unconstrained model.We have labeled the means for all the unobservables as m1–m4 with the “_1” group being the sus- tainable package group and the “_2” group being the no sustainable packaging group.

Figure 9.23 Constraining Parameters Across Groups for Both Domains
After constraining the means to be equal across the groups, let’s run the analysis and go to the output. The model comparison option in the output will let us know the chi-square dif- ference across the groups. Since we have constrained four different means, we should have a 4 degree of freedom difference from the unconstrained model.

Figure 9.24 Chi-Square Difference Test With Parameters for Both Domains Constrained
The results of the model comparison test show that constraining those means to be equal across the groups produced a chi-square difference of 300.001, which is significant at a p < .001 level. Hence, we can conclude that the groups are significantly different, and based on the latent growth analysis, spending and tipping patterns significantly increased when sus- tainable packaging was introduced at the golf snack shop.
Source: Thakkar, J.J. (2020). “Procedural Steps in Structural Equation Modelling”. In: Structural Equation Modelling. Studies in Systems, Decision and Control, vol 285. Springer, Singapore.

30 Mar 2023
31 Mar 2023
29 Mar 2023
27 Mar 2023
31 Mar 2023
27 Mar 2023